Online Database of Chemicals from Around the World

Tetrakis(2,4-di-tert-butylphenyl) 4,4'-biphenyldiphosphonite SDS (CAS 119345-01-6)

This page provides the Safety Data Sheet (SDS) for Tetrakis(2,4-di-tert-butylphenyl) 4,4'-biphenyldiphosphonite (CAS 119345-01-6), including information on hazards, first-aid measures, storage, handling requirements, and more. Users may download the SDS file free of charge for laboratory or industrial reference.

Product Info

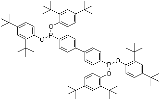
structure of CAS# 119345-01-6, Tetrakis(2,4-di-tert-butylphenyl) 4,4'-biphenyldiphosphonite;Ciba SC Irgafos P-EPQ
Product Name Tetrakis(2,4-di-tert-butylphenyl) 4,4'-biphenyldiphosphonite
CAS Registry Number 119345-01-6
Molecular Formula C68H92O4P2
Molecular Weight 1035.40
More information of Tetrakis(2,4-di-tert-butylphenyl) 4,4'-biphenyldiphosphonite
 
Source SDS Document
Sigma-Aldrich
www.sigmaaldrich.com/catalog/Lookup.do?N5=All&N3=mode+matchpartialmax&N1=S_ID&ST=RS&N25=0&F=PR&D7=0&N4=119345-01-6
View / download

Disclaimer

The SDS samples above are collected from the Internet by chemBlink and displayed here for the tutorial purpose only. chemBlink LLC provides the information contained herein in good faith but makes no representation as to its comprehensiveness or accuracy. Read full context...



Frequently Asked Questions (FAQ)
What is an SDS?   How do I download an SDS?   Are SDSs free?   What is the difference between SDS and MSDS?



More SDS files for chemicals
N-(4-fluorophen...   1-beta-D-Ribofu...   Bicyclo[2.2.2]O...   (T-4)-[(1E,6E)-...   Keycure 8179   4-Amino-2-nitro...   2,2-Dimethylcyc...   2,2-Dimethyl-Cy...   (2,5-Difluoroph...   2-(4-Methoxy-3-...