Online Database of Chemicals from Around the World

Polymyxin B sulfate SDS (CAS 1405-20-5)

This page provides the Safety Data Sheet (SDS) for Polymyxin B sulfate (CAS 1405-20-5), including information on hazards, first-aid measures, storage, handling requirements, and more. Users may download the SDS file free of charge for laboratory or industrial reference.

Product Info

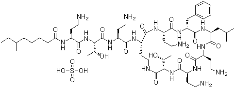
structure of CAS# 1405-20-5, Polymyxin B sulfate;Aerosporin; N-[3-Amino-1-[[1-[[3-amino-1-[[6,9,18-tris(2-aminoethyl)-15-benzyl-3-(1-hydroxyethyl)-12-(2-methylpropyl)-2,5,8,11,14,17,20-heptaoxo-1,4,7,10,13,16,19-heptazacyclotricos-21-yl]carbamoyl]propyl]carbamoyl]-2-hydroxy-propyl]carbamoyl]propyl]-6-methyl-octanamide sulfuric acid
Product Name Polymyxin B sulfate
CAS Registry Number 1405-20-5
Molecular Formula C56H98N16O13.H2SO4
Molecular Weight 1301.56
More information of Polymyxin B sulfate
 
Source SDS Document
Alfa-Aesar
www.alfa.com/en/content/msds/USA/J61763.pdf
View / download
Sigma-Aldrich
www.sigmaaldrich.com/catalog/Lookup.do?N5=All&N3=mode+matchpartialmax&N1=S_ID&ST=RS&N25=0&F=PR&D7=0&N4=1405-20-5
View / download
TCI
www.spectrumchemical.com/MSDS/TCI-P1923.pdf
View / download

Disclaimer

The SDS samples above are collected from the Internet by chemBlink and displayed here for the tutorial purpose only. chemBlink LLC provides the information contained herein in good faith but makes no representation as to its comprehensiveness or accuracy. Read full context...



Frequently Asked Questions (FAQ)
What is an SDS?   How do I download an SDS?   Are SDSs free?   What is the difference between SDS and MSDS?



More SDS files for chemicals
N,N'-1,4-Phenyl...   Methyl...   Neomycin...   tert-butyl...   3-Phenyl-1'-(Ph...   4-Chlorobenzyl...   Capastat...   Gentamycin...   4,4,4-Trifluoro...   Nickel...