Online Database of Chemicals from Around the World

Eusynthomycin SDS (CAS 16255-48-4)

This page provides the Safety Data Sheet (SDS) for Eusynthomycin (CAS 16255-48-4), including information on hazards, first-aid measures, storage, handling requirements, and more. Users may download the SDS file free of charge for laboratory or industrial reference.

Product Info

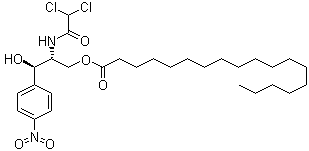
structure of CAS# 16255-48-4, Eusynthomycin;Levomycetin stearate; Chloroamphenicol stearate; [(2R,3R)-2-[(2,2-Dichloroacetyl)amino]-3-hydroxy-3-(4-nitrophenyl)propyl] octadecanoate
Product Name Eusynthomycin
CAS Registry Number 16255-48-4
Molecular Formula C29H46Cl2N2O6
Molecular Weight 589.59
More information of Eusynthomycin
 
Source SDS Document
Matrix
www.matrixscientific.com/media/msds/05/96/79/MxMSDS_059679.pdf
View / download

Disclaimer

The SDS samples above are collected from the Internet by chemBlink and displayed here for the tutorial purpose only. chemBlink LLC provides the information contained herein in good faith but makes no representation as to its comprehensiveness or accuracy. Read full context...



Frequently Asked Questions (FAQ)
What is an SDS?   How do I download an SDS?   Are SDSs free?   What is the difference between SDS and MSDS?



More SDS files for chemicals
2-Methyl-2-Prop...   Methoxycarbonyl...   Furo[4,5-b]Pyri...   4,6-Difluoro-1-...   O-(Dimethoxypho...   N-Fmoc-N'-Boc-L...   1-(2-Ethoxy-2-o...   2-[(2-Chloro-5-...   2-Methyl-2-[(pr...   S-Cbz-L-cystein...