Online Database of Chemicals from Around the World

Surfactin SDS (CAS 24730-31-2)

This page provides the Safety Data Sheet (SDS) for Surfactin (CAS 24730-31-2), including information on hazards, first-aid measures, storage, handling requirements, and more. Users may download the SDS file free of charge for laboratory or industrial reference.

Product Info

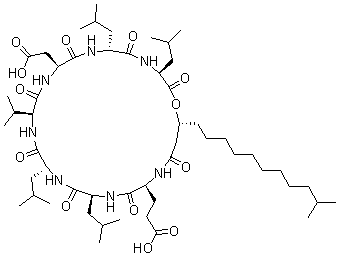
structure of CAS# 24730-31-2, Surfactin;3-[(3S,6R,9S,12S,15R,18S,21S,25R)-9-(Carboxymethyl)-3,6,15,18-Tetraisobutyl-12-Isopropyl-25-(10-Methylundecyl)-2,5,8,11,14,17,20,23-Octaoxo-1-Oxa-4,7,10,13,16,19,22-Heptazacyclopentacos-21-Yl]Propanoic Acid;3-[(3S,6R,9S,12S,15R,18S,21S,25R)-9-(Carboxymethyl)-3,6,15,18-Tetraisobutyl-12-Isopropyl-2,5,8,11,14,17,20,23-Octaketo-25-(10-Methylundecyl)-1-Oxa-4,7,10,13,16,19,22-Heptazacyclopentacos-21-Yl]Propionic Acid;C12043
Product Name Surfactin
CAS Registry Number 24730-31-2
Molecular Formula C53H93N7O13
Molecular Weight 1036.36
More information of Surfactin
 
Source SDS Document
Sigma-Aldrich
www.sigmaaldrich.com/catalog/Lookup.do?N5=All&N3=mode+matchpartialmax&N1=S_ID&ST=RS&N25=0&F=PR&D7=0&N4=24730-31-2
View / download

Disclaimer

The SDS samples above are collected from the Internet by chemBlink and displayed here for the tutorial purpose only. chemBlink LLC provides the information contained herein in good faith but makes no representation as to its comprehensiveness or accuracy. Read full context...



Frequently Asked Questions (FAQ)
What is an SDS?   How do I download an SDS?   Are SDSs free?   What is the difference between SDS and MSDS?



More SDS files for chemicals
3-Piperidineace...   Bis(tetrabutyla...   Clindamycin...   1-Chlorononane   Dihydroergocris...   1-Chloroundecan...   Ethyl 2-Cyclohe...   N,N'-(1,4-Pheny...   Leonurin...   Ethyl 2-(Bromom...