| Product Info | |
| |
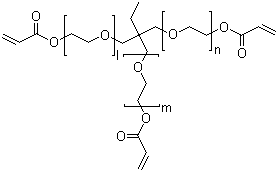
| Product Name | Ethoxylated trimethylolpropane triacrylate |
| CAS Registry Number | 28961-43-5 |
| More information of Ethoxylated trimethylolpropane triacrylate | |
| Source | SDS Document |
| Sigma-Aldrich www.sigmaaldrich.com/catalog/Lookup.do?N5=All&N3=mode+matchpartialmax&N1=S_ID&ST=RS&N25=0&F=PR&D7=0&N4=28961-43-5 |
View / download |
|
Disclaimer The SDS samples above are collected from the Internet by chemBlink and displayed here for the tutorial purpose only. chemBlink LLC provides the information contained herein in good faith but makes no representation as to its comprehensiveness or accuracy. Read full context... |
|