Online Database of Chemicals from Around the World

Sporidesmolide I SDS (CAS 2900-38-1)

This page provides the Safety Data Sheet (SDS) for Sporidesmolide I (CAS 2900-38-1), including information on hazards, first-aid measures, storage, handling requirements, and more. Users may download the SDS file free of charge for laboratory or industrial reference.

Product Info

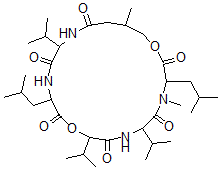
structure of CAS# 2900-38-1, Sporidesmolide I;3,12-Diisobutyl-6,9,15-Triisopropyl-4,19-Dimethyl-1,10-Dioxa-4,7,13,16-Tetrazacycloicosane-2,5,8,11,14,17-Hexone;3,12-Diisobutyl-6,9,15-Triisopropyl-4,19-Dimethyl-1,10-Dioxa-4,7,13,16-Tetrazacycloicosane-2,5,8,11,14,17-Triquinone;Nci60_000519
Product Name Sporidesmolide I
CAS Registry Number 2900-38-1
Molecular Formula C33H58N4O8
Molecular Weight 638.84
More information of Sporidesmolide I
 
Source SDS Document
Cayman
www.caymanchem.com/msdss/23882m.pdf
View / download

Disclaimer

The SDS samples above are collected from the Internet by chemBlink and displayed here for the tutorial purpose only. chemBlink LLC provides the information contained herein in good faith but makes no representation as to its comprehensiveness or accuracy. Read full context...



Frequently Asked Questions (FAQ)
What is an SDS?   How do I download an SDS?   Are SDSs free?   What is the difference between SDS and MSDS?



More SDS files for chemicals
2-Chloro-1-(1H-...   Phenylmercuric...   N-(Benzyloxycar...   1,2-Di(Chlorome...   N-Boc-L-alpha-p...   (5-Methyl-1H-Py...   Methyl...   4-Methoxybutyri...   3,5-Dinitrobenz...   4-Hydroxybutyl...