Online Database of Chemicals from Around the World

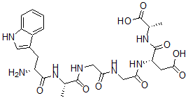
(3S)-3-[[2-[[2-[[(2S)-2-[[(2R)-2-Amino-3-(1H-Indol-3-Yl)Propanoyl]Amino]Propanoyl]Amino]Acetyl]Amino]Acetyl]Amino]-3-[[(1S)-1-Carboxyethyl]Carbamoyl]Propanoic Acid
[CAS 103122-89-0]

Suppliers
Achemica Switzerland
+41 (24) 466-2929
contact@achemica.com
Chemical manufacturer since 2010
Identification
Name (3S)-3-[[2-[[2-[[(2S)-2-[[(2R)-2-Amino-3-(1H-Indol-3-Yl)Propanoyl]Amino]Propanoyl]Amino]Acetyl]Amino]Acetyl]Amino]-3-[[(1S)-1-Carboxyethyl]Carbamoyl]Propanoic Acid
Synonyms (3S)-3-[[2-[[2-[[(2S)-2-[[(2R)-2-Amino-3-(1H-Indol-3-Yl)Propanoyl]Amino]Propanoyl]Amino]Acetyl]Amino]Acetyl]Amino]-4-[[(1S)-2-Hydroxy-1-Methyl-2-Oxo-Ethyl]Amino]-4-Oxo-Butanoic Acid; (3S)-3-[[2-[[2-[[(2S)-2-[[(2R)-2-Amino-3-(1H-Indol-3-Yl)-1-Oxopropyl]Amino]-1-Oxopropyl]Amino]-1-Oxoethyl]Amino]-1-Oxoethyl]Amino]-4-[[(1S)-2-Hydroxy-1-Methyl-2-Oxoethyl]Amino]-4-Oxobutanoic Acid; (3S)-3-[[2-[[2-[[(2S)-2-[[(2R)-2-Amino-3-(1H-Indol-3-Yl)Propanoyl]Amino]Propanoyl]Amino]Acetyl]Amino]Acetyl]Amino]-4-[[(1S)-2-Hydroxy-2-Keto-1-Methyl-Ethyl]Amino]-4-Keto-Butyric Acid
Molecular Structure CAS#: 103122-89-0, (3S)-3-[[2-[[2-[[(2S)-2-[[(2R)-2-Amino-3-(1H-Indol-3-Yl)Propanoyl]Amino]Propanoyl]Amino]Acetyl]Amino]Acetyl]Amino]-3-[[(1S)-1-Carboxyethyl]Carbamoyl]Propanoic Acid
Molecular Formula C25H33N7O9
Molecular Weight 575.58
CAS Registry Number 103122-89-0
SMILES [C@@H](CC1=C[NH]C2=CC=CC=C12)(C(=O)N[C@H](C(NCC(NCC(N[C@@H](CC(O)=O)C(N[C@@H](C)C(O)=O)=O)=O)=O)=O)C)N
InChI 1S/C25H33N7O9/c1-12(30-23(38)16(26)7-14-9-27-17-6-4-3-5-15(14)17)22(37)29-10-19(33)28-11-20(34)32-18(8-21(35)36)24(39)31-13(2)25(40)41/h3-6,9,12-13,16,18,27H,7-8,10-11,26H2,1-2H3,(H,28,33)(H,29,37)(H,30,38)(H,31,39)(H,32,34)(H,35,36)(H,40,41)/t12-,13-,16+,18-/m0/s1
InChIKey AHEJFFMYYXEMQB-UALQAHIBSA-N
Properties
Density 1.416g/cm3 (Cal.)
Boiling point 1179.07°C at 760 mmHg (Cal.)
Flash point 666.877°C (Cal.)
Market Analysis Reports
Related Products
(4R)-4-Amino-5-...  N-[2-[[(2S)-1-A...  (2S)-N-[(2S)-1-...  (2S,3R)-2-[[(2S...  2-Amino-3-(1H-I...  (2S)-2-Amino-3-...  3-Amino-3-(1H-I...  (2S)-2-amino-3-...  DL-2-Amino-3-In...  2-[[2-Amino-3-(...  3-Amino-2-(1H-I...  8-Amino-Inosine  1-Aminoinosine;...  4'-Amino-3'-iod...  (2S)-2-Amino-5-...  (2R)-2-Amino-3-...  (betaR)-beta-Am...  3-Amino-5-Iodob...  2-Amino-4-iodob...  2-Amino-3-iodob...