Online Database of Chemicals from Around the World

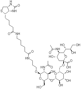
(3aS,4S,6aR)-N-[6-[[3-[[O-(N-Acetyl-alpha-neuraminosyl)-(2→6)-O-beta-D-galactopyranosyl-(1→4)-2-(acetylamino)-2-deoxy-beta-D-glucopyranosyl]oxy]propyl]amino]-6-oxohexyl]hexahydro-2-oxo-1H-thieno[3,4-d]imidazole-4-pentanamide
[CAS 1038746-08-5]

List of Suppliers
Carbosynth China Ltd. China
www.carbosynth.cn
+86 (512) 6260-5585
+86 (512) 6260-5576
sales@carbosynth.com
QQ Chat
Chemical manufacturer since 2006
chemBlink Standard supplier since 2016

Identification
ClassificationOrganic raw materials >> Heterocyclic compound >> Imidazoles
Name(3aS,4S,6aR)-N-[6-[[3-[[O-(N-Acetyl-alpha-neuraminosyl)-(2→6)-O-beta-D-galactopyranosyl-(1→4)-2-(acetylamino)-2-deoxy-beta-D-glucopyranosyl]oxy]propyl]amino]-6-oxohexyl]hexahydro-2-oxo-1H-thieno[3,4-d]imidazole-4-pentanamide
Molecular Structure(3aS,4S,6aR)-N-[6-[[3-[[O-(N-Acetyl-alpha-neuraminosyl)-(2→6)-O-beta-D-galactopyranosyl-(1→4)-2-(acetylamino)-2-deoxy-beta-D-glucopyranosyl]oxy]propyl]amino]-6-oxohexyl]hexahydro-2-oxo-1H-thieno[3,4-d]imidazole-4-pentanamide molecular structure (CAS 1038746-08-5)
Molecular FormulaC44H74N6O22S
Molecular Weight1071.15
CAS Registry Number1038746-08-5
Properties
SolubilityVery slightly soluble (0.15 g/L) (25 °C), Calc.*
Density1.51±0.1 g/cm3 (20 °C 760 Torr), Calc.*
*Calculated using Advanced Chemistry Development (ACD/Labs) Software V11.02 (©1994-2016 ACD/Labs)
Market Analysis Reports
Related Products
N-Acetylneurami...  O-(N-Acetyl-alp...  O-(N-Acetyl-alp...  O-(N-acetyl-alp...  1-O-[O-(N-Acety...  O-(N-Acetyl-alp...  O-(N-Acetyl-alp...  O-(N-acetyl-a-n...  O-(N-acetyl-a-n...  O-(N-Acetyl-alp...  (3aS,4S,6aR)-N-...  (3aS,4S,6aR)-N-...  [3aS-(3aalpha,4...  (3aS,4S,6aR)-N-...  (3aS,4S,6aR)-N-...  O-(N-Acetyl-alp...  O-(N-Acetyl-alp...  O-(N-Acetyl-alp...  O-(N-Acetyl-alp...  1-O-[O-(N-Acety...