Online Database of Chemicals from Around the World

Scytophycin B
[CAS 104653-86-3]

Suppliers
CAS#: 104653-86-3
Product: Scytophycin B
No suppilers available for the product.
Identification
Name Scytophycin B
Synonyms N-[(E,3R,4R,5R,9R,10S,11S)-10-Hydroxy-11-[(1S,3S,5S,7R,8S,12Z,14Z,17S,19R)-17-Hydroxy-3,5,7-Trimethoxy-8,14-Dimethyl-11-Oxo-Spiro[10,23-Dioxabicyclo[17.3.1]Tricosa-12,14,20-Triene-4,2'-Oxirane]-9-Yl]-4-Methoxy-3,5,9-Trimethyl-6-Oxo-Dodec-1-Enyl]-N-Methyl-Formamide; N-[(E,3R,4R,5R,9R,10S,11S)-10-Hydroxy-11-[(1S,3S,5S,7R,8S,12Z,14Z,17S,19R)-17-Hydroxy-3,5,7-Trimethoxy-8,14-Dimethyl-11-Oxo-9-Spiro[10,23-Dioxabicyclo[17.3.1]Tricosa-12,14,20-Triene-4,2'-Oxirane]Yl]-4-Methoxy-3,5,9-Trimethyl-6-Oxododec-1-Enyl]-N-Methylformamide; N-[(E,3R,4R,5R,9R,10S,11S)-10-Hydroxy-11-[(1S,3S,5S,7R,8S,12Z,14Z,17S,19R)-17-Hydroxy-11-Keto-3,5,7-Trimethoxy-8,14-Dimethyl-Spiro[10,23-Dioxabicyclo[17.3.1]Tricosa-12,14,20-Triene-4,2'-Oxirane]-9-Yl]-6-Keto-4-Methoxy-3,5,9-Trimethyl-Dodec-1-Enyl]-N-Methyl-Formamide
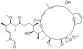
Molecular Structure CAS#: 104653-86-3, Scytophycin B
Molecular Formula C45H73NO12
Molecular Weight 820.07
CAS Registry Number 104653-86-3
SMILES [C@@H]2(OC)C1(OC1)[C@@H](OC)C[C@@H](OC)[C@@H](C(OC(=O)\C=C/C(=C\C[C@H](O)C[C@H]3O[C@H](C2)CC=C3)C)[C@H]([C@@H](O)[C@@H](CCC(=O)[C@@H]([C@H](OC)[C@@H](\C=C\N(C=O)C)C)C)C)C)C
InChI 1S/C45H73NO12/c1-28-15-18-34(48)23-35-13-12-14-36(57-35)24-39(53-9)45(26-56-45)40(54-10)25-38(52-8)32(5)44(58-41(50)20-16-28)33(6)42(51)29(2)17-19-37(49)31(4)43(55-11)30(3)21-22-46(7)27-47/h12-13,15-16,20-22,27,29-36,38-40,42-44,48,51H,14,17-19,23-26H2,1-11H3/b20-16-,22-21+,28-15-/t29-,30-,31+,32+,33+,34+,35+,36+,38-,39+,40+,42+,43-,44?,45?/m1/s1
InChIKey LGYQYCWMQRMLJJ-QFVJJEIFSA-N
Market Analysis Reports
Related Products
Scutellarin 7-O...  Scuterivulacton...  Scutigeral;2,3,...  Scyliorhinin I;...  Scyliorhinin II...  Scyllitol;AZD 1...  Scymnol;(3R,5S,...  Scytalidin;Scyt...  Scytalone;(3S)-...  Scytophycin A;N...  SD-06;3-[N-(2-H...  SD-282  Sdz 219-964  SE 563  Sea buckthorn e...  Sebacaldehyde;S...  Sebacamide;Seba...  Sebacic acid;1,...  Sebacic Acid Bu...  Sebacic acid ho...