Online Database of Chemicals from Around the World

N-[(2S)-5-Amino-1-[(2-Amino-2-Oxoethyl)Amino]-1-Oxopentan-2-Yl]-1-[(4R,7S,10S,16S,19R)-19-Amino-7-(2-Amino-2-Oxoethyl)-13-[(2S)-Butan-2-Yl]-10-(1-Hydroxyethyl)-20,20-Dimethyl-16-[(4-Methylphenyl)Methyl]-6,9,12,15,18-Pentaoxo1,2-Dithia-5,8,11,14,17-Pentazacycloicosane-4-Carbonyl]Pyrrolidine-2-Carboxamide
[CAS 106128-84-1]

Suppliers
Achemica Switzerland
+41 (24) 466-2929
contact@achemica.com
Chemical manufacturer since 2010
Identification
Name N-[(2S)-5-Amino-1-[(2-Amino-2-Oxoethyl)Amino]-1-Oxopentan-2-Yl]-1-[(4R,7S,10S,16S,19R)-19-Amino-7-(2-Amino-2-Oxoethyl)-13-[(2S)-Butan-2-Yl]-10-(1-Hydroxyethyl)-20,20-Dimethyl-16-[(4-Methylphenyl)Methyl]-6,9,12,15,18-Pentaoxo1,2-Dithia-5,8,11,14,17-Pentazacycloicosane-4-Carbonyl]Pyrrolidine-2-Carboxamide
Synonyms N-[(1S)-4-Amino-1-[(2-Amino-2-Oxo-Ethyl)Carbamoyl]Butyl]-1-[(4R,7S,10S,16S,19R)-19-Amino-7-(2-Amino-2-Oxo-Ethyl)-10-(1-Hydroxyethyl)-20,20-Dimethyl-16-[(4-Methylphenyl)Methyl]-6,9,12,15,18-Pentaoxo-13-Sec-Butyl-1,2-Dithia-5,8,11,14,17-Pentazacycloicosane-4-Carbonyl]Pyrrolidine-2-Carboxamide; N-[(1S)-4-Amino-1-[[(2-Amino-2-Oxoethyl)Amino]-Oxomethyl]Butyl]-1-[[(4R,7S,10S,16S,19R)-19-Amino-7-(2-Amino-2-Oxoethyl)-10-(1-Hydroxyethyl)-20,20-Dimethyl-16-[(4-Methylphenyl)Methyl]-6,9,12,15,18-Pentaoxo-13-Sec-Butyl-1,2-Dithia-5,8,11,14,17-Pentazacycloicos-4-Yl]-Oxomethyl]-2-Pyrrolidinecarboxamide; N-[(1S)-4-Amino-1-[(2-Amino-2-Keto-Ethyl)Carbamoyl]Butyl]-1-[(4R,7S,10S,16S,19R)-19-Amino-7-(2-Amino-2-Keto-Ethyl)-10-(1-Hydroxyethyl)-6,9,12,15,18-Pentaketo-20,20-Dimethyl-16-(4-Methylbenzyl)-13-Sec-Butyl-1,2-Dithia-5,8,11,14,17-Pentazacycloicosane-4-Carbonyl]Pyrrolidine-2-Carboxamide
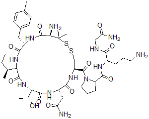
Molecular Structure CAS#: 106128-84-1, N-[(2S)-5-Amino-1-[(2-Amino-2-Oxoethyl)Amino]-1-Oxopentan-2-Yl]-1-[(4R,7S,10S,16S,19R)-19-Amino-7-(2-Amino-2-Oxoethyl)-13-[(2S)-Butan-2-Yl]-10-(1-Hydroxyethyl)-20,20-Dimethyl-16-[(4-Methylphenyl)Methyl]-6,9,12,15,18-Pentaoxo1,2-Dithia-5,8,11,14,17-Pentazacycloicosane-4-Carbonyl]Pyrrolidine-2-Carboxamide
Molecular Formula C44H70N12O11S2
Molecular Weight 1007.23
CAS Registry Number 106128-84-1
SMILES [C@H]1(NC(=O)C(NC(=O)[C@@H](NC(=O)[C@@H](N)C(SSC[C@H](NC(=O)[C@@H](NC1=O)CC(=O)N)C(=O)N2C(C(=O)N[C@H](C(=O)NCC(=O)N)CCCN)CCC2)(C)C)CC3=CC=C(C=C3)C)[C@H](CC)C)[C@H](O)C
InChI 1S/C44H70N12O11S2/c1-7-23(3)33-40(64)55-34(24(4)57)41(65)51-28(19-31(46)58)37(61)53-29(43(67)56-17-9-11-30(56)39(63)50-26(10-8-16-45)36(60)49-20-32(47)59)21-68-69-44(5,6)35(48)42(66)52-27(38(62)54-33)18-25-14-12-22(2)13-15-25/h12-15,23-24,26-30,33-35,57H,7-11,16-21,45,48H2,1-6H3,(H2,46,58)(H2,47,59)(H,49,60)(H,50,63)(H,51,65)(H,52,66)(H,53,61)(H,54,62)(H,55,64)/t23-,24+,26-,27-,28-,29-,30?,33?,34-,35+/m0/s1
InChIKey BBVOEYWBXSEVSR-VEIIYQESSA-N
Properties
Density 1.237g/cm3 (Cal.)
Boiling point 1453.471°C at 760 mmHg (Cal.)
Flash point 832.829°C (Cal.)
Market Analysis Reports
Related Products
N-[5-Amino-2-[3...  1-Amino-3-(Amin...  2-Amino-3-[2-Am...  (2S)-2-Amino-N-...  (2S)-2-Amino-5-...  (4S)-5-[[(2R)-1...  (2R,3R)-3-[[(2S...  (2S)-6-Amino-2-...  (3Z)-5-Amino-3-...  (2S)-N-[(2S)-6-...  N-[5-Amino-1-[(...  N-[5-Amino-1-[(...  N-[5-Amino-1-[(...  N-[5-Amino-1-[(...  1-{[(4R,7S,10S,...  (2S)-1-[(4R,7R,...  1-[(4R,7S,10S,1...  1-{[(4R,7S,10S,...  (4R,7S,10S,16S,...  1-{[(4R,7S,10S,...