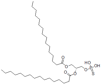
Identification
| Name |
1,2-Dipalmitoyl glycero-3-thiophosphate |
| Synonyms |
[(2R)-2,3-Di(Hexadecanoyloxy)Propoxy]-Hydroxysulfanyl-Oxo-Phosphonium; [(2R)-2,3-Bis(1-Oxohexadecoxy)Propoxy]-(Hydroxythio)-Oxophosphonium; [(2R)-2,3-Di(Hexadecanoyloxy)Propoxy]-Keto-Sulfeno-Phosphonium |
|
| Molecular Structure |
 |
| Molecular Formula |
C35H68O7PS |
| Molecular Weight |
663.95 |
| CAS Registry Number |
106249-23-4 |
| SMILES |
[C@@H](OC(=O)CCCCCCCCCCCCCCC)(COC(=O)CCCCCCCCCCCCCCC)CO[P+](SO)=O |
| InChI |
1S/C35H67O7PS/c1-3-5-7-9-11-13-15-17-19-21-23-25-27-29-34(36)40-31-33(32-41-43(38)44-39)42-35(37)30-28-26-24-22-20-18-16-14-12-10-8-6-4-2/h33H,3-32H2,1-2H3/p+1/t33-/m1/s1 |
| InChIKey |
KWNSHHYCPJCAQJ-MGBGTMOVSA-O |
|