Online Database of Chemicals from Around the World
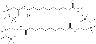
Decanedioic acid 1,10-bis(1,2,2,6,6-pentamethyl-4-piperidinyl) ester mixt. with 1-methyl 10-(1,2,2,6,6-pentamethyl-4-piperidinyl) decanedioate
[CAS 1065336-91-5]
Identification| Name | Decanedioic acid 1,10-bis(1,2,2,6,6-pentamethyl-4-piperidinyl) ester mixt. with 1-methyl 10-(1,2,2,6,6-pentamethyl-4-piperidinyl) decanedioate |
|---|
|
| Molecular Structure |  |
| Molecular Formula | C30H56N2O4.C21H39NO4 |
| CAS Registry Number | 1065336-91-5 |
| EC Number | 915-687-0 |
|
Safety Data
| Hazard Classification |
|
| Hazard | Class | Category Code | Hazard Statement |
| Chronic hazardous to the aquatic environment | Aquatic Chronic | 1 | H410 |
| Acute hazardous to the aquatic environment | Aquatic Acute | 1 | H400 |
| Skin sensitization | Skin Sens. | 1A | H317 |
| Reproductive toxicity | Repr. | 2 | H361 |
| Skin sensitization | Skin Sens. | 1 | H317 |
| Reproductive toxicity | Repr. | 2 | H361f |
| Chronic hazardous to the aquatic environment | Aquatic Chronic | 2 | H411 |
|
Related Products