|
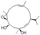
CAS#: 107856-75-7 Product: (4Z,8S,9Z,11S,13R,14R)-1,5,11-Trimethyl-8-Propan-2-Yl-15-Oxabicyclo[12.1.0]Pentadeca-4,9-Diene-11,13-Diol No suppilers available for the product. |
| Name | (4Z,8S,9Z,11S,13R,14R)-1,5,11-Trimethyl-8-Propan-2-Yl-15-Oxabicyclo[12.1.0]Pentadeca-4,9-Diene-11,13-Diol |
|---|---|
| Synonyms | (4Z,8S,9Z,11S,13R,14R)-8-Isopropyl-1,5,11-Trimethyl-15-Oxabicyclo[12.1.0]Pentadeca-4,9-Diene-11,13-Diol; 15-Oxabicyclo(12.1.0)Pentadeca-5,10-Diene-2,4-Diol, 4,10,14-Trimethyl-7-(1-Methylethyl)-, (1R-(1R*,2R*,4S*,5E,7S*,10R*))-; 7,8-Ecd |
| Molecular Structure | ![]() |
| Molecular Formula | C20H34O3 |
| Molecular Weight | 322.49 |
| CAS Registry Number | 107856-75-7 |
| SMILES | [C@H]12OC1(CC\C=C(CC[C@H](\C=C/[C@@](O)(C[C@H]2O)C)C(C)C)\C)C |
| InChI | 1S/C20H34O3/c1-14(2)16-9-8-15(3)7-6-11-20(5)18(23-20)17(21)13-19(4,22)12-10-16/h7,10,12,14,16-18,21-22H,6,8-9,11,13H2,1-5H3/b12-10-,15-7-/t16-,17-,18-,19-,20?/m1/s1 |
| InChIKey | RLYASSMUZMAUCA-FWNBTYLKSA-N |
| Market Analysis Reports |