Online Database of Chemicals from Around the World

Cs4 Peptide
[CAS 107978-80-3]

Suppliers
CAS#: 107978-80-3
Product: Cs4 Peptide
No suppilers available for the product.
Identification
Name Cs4 Peptide
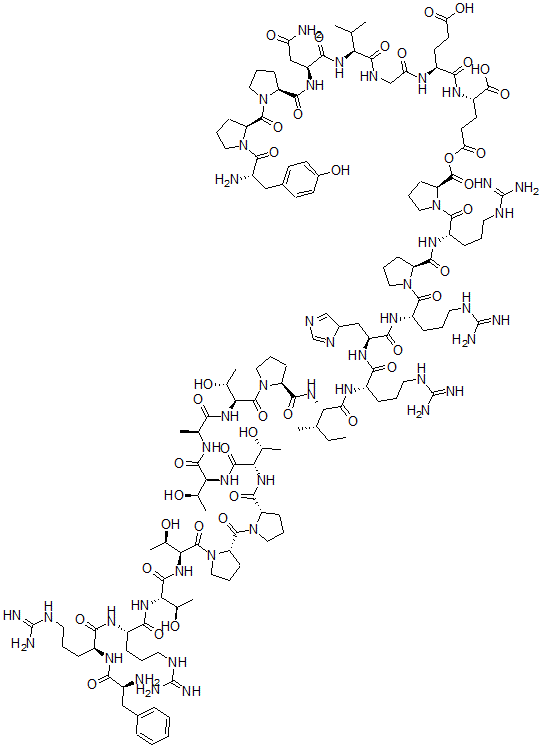
Molecular Structure CAS#: 107978-80-3, Cs4 Peptide
Molecular Formula C139H219N45O39
Molecular Weight 3144.54
CAS Registry Number 107978-80-3
SMILES [C@H](C(=O)O)(NC([C@@H](NC(CNC([C@@H](NC([C@@H](NC([C@H]1N(CCC1)C([C@H]2N(CCC2)C([C@@H](N)CC3=CC=C(O)C=C3)=O)=O)=O)CC(=O)N)=O)C(C)C)=O)=O)CCC(=O)O)=O)CCC(=O)OC([C@H]4N(CCC4)C([C@@H](NC([C@H]5N(CCC5)C([C@@H](NC([C@@H](NC([C@@H](NC([C@@H](NC([C@H]6N(CCC6)C([C@@H](NC([C@@H](NC([C@@H](NC([C@@H](NC([C@H]7N(CCC7)C([C@H]8N(CCC8)C([C@@H](NC([C@@H](NC([C@@H](NC([C@@H](NC([C@@H](N)CC9=CC=CC=C9)=O)CCCNC(=N)N)=O)CCCNC(=N)N)=O)[C@@H](C)O)=O)[C@@H](C)O)=O)=O)=O)[C@@H](C)O)=O)[C@@H](C)O)=O)C)=O)[C@@H](C)O)=O)=O)[C@H](CC)C)=O)CCCNC(=N)N)=O)CC%10C=NC=N%10)=O)CCCNC(=N)N)=O)=O)CCCNC(=N)N)=O)=O
InChI 1S/C139H219N45O39/c1-11-69(4)103(172-119(206)94-37-23-57-181(94)131(218)107(74(9)188)176-109(196)70(5)161-123(210)104(71(6)185)175-124(211)106(73(8)187)174-120(207)93-36-22-56-180(93)130(217)96-39-25-59-183(96)132(219)108(75(10)189)177-125(212)105(72(7)186)173-114(201)84(31-17-51-156-137(147)148)164-111(198)82(29-15-49-154-135(143)144)163-110(197)80(140)61-76-27-13-12-14-28-76)122(209)165-83(30-16-50-155-136(145)146)112(199)169-89(63-78-65-153-67-160-78)115(202)166-86(32-18-52-157-138(149)150)127(214)178-54-20-34-91(178)117(204)167-87(33-19-53-158-139(151)152)128(215)184-60-26-40-97(184)134(222)223-101(195)48-46-88(133(220)221)168-113(200)85(45-47-100(193)194)162-99(192)66-159-121(208)102(68(2)3)171-116(203)90(64-98(142)191)170-118(205)92-35-21-55-179(92)129(216)95-38-24-58-182(95)126(213)81(141)62-77-41-43-79(190)44-42-77/h12-14,27-28,41-44,65,67-75,78,80-97,102-108,185-190H,11,15-26,29-40,45-64,66,140-141H2,1-10H3,(H2,142,191)(H,159,208)(H,161,210)(H,162,192)(H,163,197)(H,164,198)(H,165,209)(H,166,202)(H,167,204)(H,168,200)(H,169,199)(H,170,205)(H,171,203)(H,172,206)(H,173,201)(H,174,207)(H,175,211)(H,176,196)(H,177,212)(H,193,194)(H,220,221)(H4,143,144,154)(H4,145,146,155)(H4,147,148,156)(H4,149,150,157)(H4,151,152,158)/t69-,70-,71+,72+,73+,74+,75+,78?,80-,81-,82-,83-,84-,85-,86-,87-,88-,89-,90-,91-,92-,93-,94-,95-,96-,97-,102-,103-,104-,105-,106-,107-,108-/m0/s1
InChIKey APLLBGWLJSILKN-PSDHQGSASA-N
Market Analysis Reports
Related Products
Peppermint wate...  Pepsin;Pepsin A  Pepsin A  Pepsinostreptin...  Pepstatin;Pepst...  Pepstatin  Pepstatin Keton...  Pepstatin A mon...  Pepstatyl-Argin...  Peptidase;Ereps...  Cs5 Peptide;Gly...  Peptide P(1-24)...  Peptide 31D;L-A...  PR 39 (peptide)  SPC 3 Peptide  Cks-17 peptide;...  Gsk Peptide;(2S...  Peptide 6A;H-AL...  Peptide I (Aply...  Peptide C20w