Online Database of Chemicals from Around the World

Syntide 2
[CAS 108334-68-5]

List of Suppliers
Creative Peptides USA
www.creative-peptides.com
+1 (631) 624-4882
+1 (631) 614-7828
info@creative-peptides.com
Chemical manufacturer
chemBlink Standard supplier since 2010
Santa Cruz Biotechnology, Inc. USA
www.scbt.com
+1 (831) 457-3800
+1 (831) 457-3801
scbt@scbt.com
Chemical manufacturer

Identification
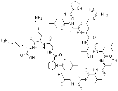
NameSyntide 2
SynonymsL-Prolyl-L-leucyl-L-alanyl-L-arginyl-L-threonyl-L-leucyl-L-seryl-L-valyl-L-alanylglycyl-L-leucyl-L-prolylglycyl-L-lysyl-L-Lysine
Molecular StructureSyntide 2 molecular structure (CAS 108334-68-5)
Molecular FormulaC68H122N20O18
Molecular Weight1507.82
CAS Registry Number108334-68-5
Properties
SolubilityVery soluble (1000 g/L) (25 °C), Calc.*
Density1.40±0.1 g/cm3 (20 °C 760 Torr), Calc.*
*Calculated using Advanced Chemistry Development (ACD/Labs) Software V11.02 (©1994-2013 ACD/Labs)
Safety Data
SDSAvailable
Market Analysis Reports
Related Products
Syn-Phenanthren...  Syntelin  Synthase, Nitri...  Synthase, Porph...  Synthetase, Ace...  Synthetase Poly...  Synthetic amino...  Synthetic Esche...  Synthetic hydro...  Synthetic pepti...  Syringaldazine  DL-Syringaresin...  (+)-Syringaresi...  Syringaresinol  (-)-Syringaresi...  Syringaresinol ...  (-)-Syringaresi...  (-)-Syringaresi...  (-)-Syringaresn...  Syringetin