|
CAS#: 109857-48-9 Product: (E)-2-Amino-5-(Diaminomethylideneamino)-2-(Fluoromethyl)Pent-3-Enoic Acid No suppilers available for the product. |
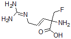
| Name | (E)-2-Amino-5-(Diaminomethylideneamino)-2-(Fluoromethyl)Pent-3-Enoic Acid |
|---|---|
| Synonyms | (E)-2-Amino-2-(Fluoromethyl)-5-Guanidino-Pent-3-Enoic Acid; (E)-2-Amino-2-(Fluoromethyl)-5-Guanidinopent-3-Enoic Acid; Alpha-Fmda |
| Molecular Structure | ![]() |
| Molecular Formula | C7H13FN4O2 |
| Molecular Weight | 204.20 |
| CAS Registry Number | 109857-48-9 |
| SMILES | C(F)C(N)(\C=C\CN=C(N)N)C(O)=O |
| InChI | 1S/C7H13FN4O2/c8-4-7(11,5(13)14)2-1-3-12-6(9)10/h1-2H,3-4,11H2,(H,13,14)(H4,9,10,12)/b2-1+ |
| InChIKey | UDWPEHOXJIIOEY-OWOJBTEDSA-N |
| Density | 1.426g/cm3 (Cal.) |
|---|---|
| Boiling point | 456.147°C at 760 mmHg (Cal.) |
| Flash point | 229.67°C (Cal.) |
| Market Analysis Reports |