Online Database of Chemicals from Around the World

1-(1,1-Dimethylethylamino)-3-(2-(3-(1H-indol-4-yl)propyl)phenoxy)-2-propanol fumarate
[CAS 109920-83-4]

Suppliers
CAS#: 109920-83-4
Product: 1-(1,1-Dimethylethylamino)-3-(2-(3-(1H-indol-4-yl)propyl)phenoxy)-2-propanol fumarate
No suppilers available for the product.
Identification
Name 1-(1,1-Dimethylethylamino)-3-(2-(3-(1H-indol-4-yl)propyl)phenoxy)-2-propanol fumarate
Synonyms 1-(1,1-Dimethylethylamino)-3-(2-(3-(1H-Indol-4-Yl)Propyl)Phenoxy)-2-Propanol Fumarate; 2-Propanol, 1-((1,1-Dimethylethyl)Amino)-3-(2-(3-(1H-Indol-4-Yl)Propyl)Phenoxy)-, (E)-2-Butenedioate (2:1) (Salt)
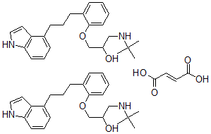
Molecular Structure CAS#: 109920-83-4, 1-(1,1-Dimethylethylamino)-3-(2-(3-(1H-indol-4-yl)propyl)phenoxy)-2-propanol fumarate
Molecular Formula C52H68N4O8
Molecular Weight 877.13
CAS Registry Number 109920-83-4
SMILES C1=C[NH]C2=C1C(=CC=C2)CCCC3=CC=CC=C3OCC(O)CNC(C)(C)C.C4=C[NH]C5=C4C(=CC=C5)CCCC6=CC=CC=C6OCC(O)CNC(C)(C)C.O=C(O)\C=C\C(=O)O
InChI 1S/2C24H32N2O2.C4H4O4/c2*1-24(2,3)26-16-20(27)17-28-23-13-5-4-8-19(23)11-6-9-18-10-7-12-22-21(18)14-15-25-22;5-3(6)1-2-4(7)8/h2*4-5,7-8,10,12-15,20,25-27H,6,9,11,16-17H2,1-3H3;1-2H,(H,5,6)(H,7,8)/b;;2-1+
InChIKey SFQDJCLMNVHUCB-WXXKFALUSA-N
Properties
Boiling point 578.9°C at 760 mmHg (Cal.)
Flash point 303.9°C (Cal.)
Market Analysis Reports
Related Products
5-[2-[(1,1-Dime...  8-[3-[(1,1-Dime...  4-[3-[(1,1-Dime...  (+)-4-[3-[(1,1-...  2-[4-[3-[(1,1-D...  4'-[3-[(1,1-Dim...  5-[3-[(1,1-Dime...  2-[3-[(1,1-Dime...  2-[3-[(1,1-Dime...  (S)-5-[2-[[3-[(...  1,1-Dimethyleth...  1,1-Dimethyleth...  (S)-alpha-[[(1,...  alpha-[[(1,1-Di...  alpha-[[(1,1-Di...  (+)-alpha6-[[(1...  1,1-Dimethyleth...  1,1-Dimethyleth...  1,1-Dimethyleth...  alpha1-[[(1,1-D...