Online Database of Chemicals from Around the World

P(1),P(4)-Bis(5'-Adenosyl)-1,4-Dithiotetraphosphate
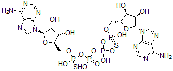
[CAS 113270-27-2]

Suppliers
Achemica Switzerland
+41 (24) 466-2929
contact@achemica.com
Chemical manufacturer since 2010
Identification
Name P(1),P(4)-Bis(5'-Adenosyl)-1,4-Dithiotetraphosphate
Synonyms [[(2R,3S,4R,5R)-5-(6-Aminopurin-9-Yl)-3,4-Dihydroxy-Tetrahydrofuran-2-Yl]Methoxy-Hydroxy-Phosphinothioyl] [[[(2R,3S,4R,5R)-5-(6-Aminopurin-9-Yl)-3,4-Dihydroxy-Tetrahydrofuran-2-Yl]Methoxy-Hydroxy-Phosphinothioyl]Oxy-Hydroxy-Phosphoryl] Hydrogen Phosphate; [[(2R,3S,4R,5R)-5-(6-Amino-9-Purinyl)-3,4-Dihydroxy-2-Tetrahydrofuranyl]Methoxy-Hydroxyphosphinothioyl] [[[(2R,3S,4R,5R)-5-(6-Amino-9-Purinyl)-3,4-Dihydroxy-2-Tetrahydrofuranyl]Methoxy-Hydroxyphosphinothioyl]Oxy-Hydroxyphosphoryl] Hydrogen Phosphate; [[(2R,3S,4R,5R)-5-(6-Aminopurin-9-Yl)-3,4-Dihydroxy-Tetrahydrofuran-2-Yl]Methoxy-Hydroxy-Thiophosphoryl] [[[(2R,3S,4R,5R)-5-(6-Aminopurin-9-Yl)-3,4-Dihydroxy-Tetrahydrofuran-2-Yl]Methoxy-Hydroxy-Thiophosphoryl]Oxy-Hydroxy-Phosphoryl] Hydrogen Phosphate
Molecular Structure CAS#: 113270-27-2, P(1),P(4)-Bis(5'-Adenosyl)-1,4-Dithiotetraphosphate
Molecular Formula C20H28N10O17P4S2
Molecular Weight 868.51
CAS Registry Number 113270-27-2
SMILES [C@H]1(O[C@@H]([C@@H](O)[C@H]1O)CO[P](=S)(O[P](O[P](O[P](=S)(OC[C@H]4O[C@@H]([N]2C3=C(N=C2)C(=NC=N3)N)[C@H](O)[C@@H]4O)O)(=O)O)(=O)O)O)[N]5C6=C(N=C5)C(=NC=N6)N
InChI 1S/C20H28N10O17P4S2/c21-15-9-17(25-3-23-15)29(5-27-9)19-13(33)11(31)7(43-19)1-41-50(39,52)46-48(35,36)45-49(37,38)47-51(40,53)42-2-8-12(32)14(34)20(44-8)30-6-28-10-16(22)24-4-26-18(10)30/h3-8,11-14,19-20,31-34H,1-2H2,(H,35,36)(H,37,38)(H,39,52)(H,40,53)(H2,21,23,25)(H2,22,24,26)/t7-,8-,11-,12-,13-,14-,19-,20-,50?,51?/m1/s1
InChIKey JIZRAGCAYQMDIX-BTSZXFKFSA-N
Properties
Density 2.535g/cm3 (Cal.)
Boiling point 1236.775°C at 760 mmHg (Cal.)
Flash point 701.776°C (Cal.)
Market Analysis Reports
Related Products
1,7-Bis((1-adam...  1,4-Bis-(3-(1-a...  4,6-Bis(1-adama...  Bis(adamant-1-y...  N,N'-Bis(1-Adam...  1,3-Bis(1-adama...  Bis(adamant-1-y...  Bis(1-adamantyl...  Bis(adamant-1-y...  Bis(Adeninato-N...  2,7-Bis(alloxyc...  2,7-Bis(alloxyc...  2,7-Bis(alloxyc...  1,5-Bis(4-Allyl...  N,O-Bis(Allyldi...  Bis(Allyldithio...  Bis(3-Allyl-4-H...  {[Bis(4-allyl-2...  2,4-Bis(allylox...  1,2-Bis(Allylox...