Online Database of Chemicals from Around the World

Ferrocin A
[CAS 114550-08-2]

Suppliers
CAS#: 114550-08-2
Product: Ferrocin A
No suppilers available for the product.
Identification
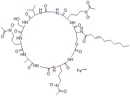
Name Ferrocin A
Synonyms Ferric (E)-N-[6,15,27-Tris[3-(Acetyl-Oxido-Amino)Propyl]-18-(Hydroxymethyl)-21-Isopropyl-12-Methyl-2,5,8,11,14,17,20,23,26,29-Decaoxo-1-Oxa-4,7,10,13,16,19,22,25,28-Nonazacyclohentriacont-30-Yl]Dec-3-Enamide; Ferric (E)-N-[6,15,27-Tris[3-(Acetyl-Oxidoamino)Propyl]-18-(Hydroxymethyl)-21-Isopropyl-12-Methyl-2,5,8,11,14,17,20,23,26,29-Decaoxo-1-Oxa-4,7,10,13,16,19,22,25,28-Nonazacyclohentriacont-30-Yl]Dec-3-Enamide; Ferric N-[3-[15,27-Bis[3-(Acetyl-Oxido-Amino)Propyl]-30-[[(E)-Dec-3-Enoyl]Amino]-21-Isopropyl-2,5,8,11,14,17,20,23,26,29-Decaketo-12-Methyl-18-Methylol-1-Oxa-4,7,10,13,16,19,22,25,28-Nonazacyclohentriacont-6-Yl]Propyl]-N-Oxido-Acetamide
Molecular Structure CAS#: 114550-08-2, Ferrocin A
Molecular Formula C51H82FeN13O19
Molecular Weight 1237.13
CAS Registry Number 114550-08-2
SMILES C(O)C1NC(=O)C(NC(=O)CNC(=O)C(NC(=O)C(NC(=O)C\C=C\CCCCCC)COC(=O)CNC(=O)C(NC(=O)CNC(=O)C(NC(=O)C(NC1=O)CCCN([O-])C(=O)C)C)CCCN([O-])C(=O)C)CCCN([O-])C(=O)C)C(C)C.[Fe+3]
InChI 1S/C51H82N13O19.Fe/c1-8-9-10-11-12-13-14-21-40(69)57-39-29-83-43(72)27-54-46(74)35(18-15-22-62(80)32(5)66)56-41(70)25-52-45(73)31(4)55-48(76)37(20-17-24-64(82)34(7)68)59-49(77)38(28-65)60-51(79)44(30(2)3)61-42(71)26-53-47(75)36(58-50(39)78)19-16-23-63(81)33(6)67;/h13-14,30-31,35-39,44,65H,8-12,15-29H2,1-7H3,(H,52,73)(H,53,75)(H,54,74)(H,55,76)(H,56,70)(H,57,69)(H,58,78)(H,59,77)(H,60,79)(H,61,71);/q-3;+3/b14-13+;
InChIKey NFEHNCXMXVNUPC-IERUDJENSA-N
Market Analysis Reports
Related Products
(+)-1-Ferroceny...  (-)-1-Ferroceny...  2-Ferrocenyleth...  N-(Ferrocenylme...  4-Ferrocenyl-4-...  delta-Ferroceny...  trans-4-[2-(1-F...  Ferrocerium  Ferrochloroquin...  Ferrocholinate;...  Ferroin sulfate...  Ferronil;Carbon...  Ferrophosphorus  Ferroplex;Ferro...  Ferropolimaler;...  Ferroporphyrin;...  Ferrostatin-1;e...  Ferrous acetate...  Ferrous acetyla...  Ferrous N-[2-[[...