Online Database of Chemicals from Around the World

N-(Deoxycytidylyl-(3'-5')-guanosin-8-yl)aniline
[CAS 114692-54-5]

Suppliers
CAS#: 114692-54-5
Product: N-(Deoxycytidylyl-(3'-5')-guanosin-8-yl)aniline
No suppilers available for the product.
Identification
Name N-(Deoxycytidylyl-(3'-5')-guanosin-8-yl)aniline
Synonyms [(2R,3S,4R,5R)-5-[2-Amino-6-Oxo-8-(Phenylamino)-3H-Purin-9-Yl]-3,4-Dihydroxy-Tetrahydrofuran-2-Yl]Methyl [(2R,3S,5S)-5-(4-Amino-2-Oxo-Pyrimidin-1-Yl)-2-(Hydroxymethyl)Tetrahydrofuran-3-Yl] Hydrogen Phosphate; [(2R,3S,4R,5R)-5-[2-Amino-6-Oxo-8-(Phenylamino)-3H-Purin-9-Yl]-3,4-Dihydroxy-2-Tetrahydrofuranyl]Methyl [(2R,3S,5S)-5-(4-Amino-2-Oxo-1-Pyrimidinyl)-2-(Hydroxymethyl)-3-Tetrahydrofuranyl] Hydrogen Phosphate; [(2R,3S,4R,5R)-5-[2-Amino-6-Keto-8-(Phenylamino)-3H-Purin-9-Yl]-3,4-Dihydroxy-Tetrahydrofuran-2-Yl]Methyl [(2R,3S,5S)-5-(4-Amino-2-Keto-Pyrimidin-1-Yl)-2-Methylol-Tetrahydrofuran-3-Yl] Hydrogen Phosphate
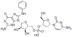
Molecular Structure CAS#: 114692-54-5, N-(Deoxycytidylyl-(3'-5')-guanosin-8-yl)aniline
Molecular Formula C25H30N9O11P
Molecular Weight 663.54
CAS Registry Number 114692-54-5
SMILES [C@H]4(O)[C@H]([N]2C1=C(C(N=C(N1)N)=O)N=C2NC3=CC=CC=C3)O[C@@H]([C@H]4O)CO[P](O[C@@H]6[C@H](O[C@H](N5C(N=C(C=C5)N)=O)C6)CO)(=O)O
InChI 1S/C25H30N9O11P/c26-15-6-7-33(25(39)29-15)16-8-12(13(9-35)43-16)45-46(40,41)42-10-14-18(36)19(37)22(44-14)34-20-17(21(38)32-23(27)31-20)30-24(34)28-11-4-2-1-3-5-11/h1-7,12-14,16,18-19,22,35-37H,8-10H2,(H,28,30)(H,40,41)(H2,26,29,39)(H3,27,31,32,38)/t12-,13+,14+,16-,18+,19+,22+/m0/s1
InChIKey OLXWDNDFNBPOHG-VXSGUQNHSA-N
Properties
Density 2.018g/cm3 (Cal.)
Boiling point 1019.192°C at 760 mmHg (Cal.)
Flash point 570.187°C (Cal.)
Market Analysis Reports
Related Products
3'-Deoxycytidin...  2'-Deoxycytidin...  2'-Deoxycytidin...  2'-Deoxycytidyl...  1-(N(3)-Deoxycy...  2'-Deoxy-3'-cyt...  2'-Deoxy-5'-cyt...  2'-Deoxycytidyl...  Deoxycytidylyl-...  2'-Deoxycytidyl...  Deoxy(Cytidylyl...  2'-Deoxycytidyl...  2'-Deoxycytidyl...  4'-Deoxydaunomy...  11-Deoxydaunomy...  7-Deoxy Daunoru...  2'-Deoxy-7-deaz...  2'-Deoxy-7-deaz...  rac-11-Deoxy-8(...  2-deoxy-4-O-(4-...