|
CAS#: 117860-08-9 Product: 2-De(Acetylmethylamino)-15-Methoxy-2-Methyl-Maytansine No suppilers available for the product. |
| Name | 2-De(Acetylmethylamino)-15-Methoxy-2-Methyl-Maytansine |
|---|---|
| Synonyms | Maytansine, 2'-De(Acetylmethylamino)-15-Methoxy-2'-Methyl-; 15-Ma-P3 |
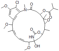
| Molecular Structure | ![]() |
| Molecular Formula | C33H45ClN2O10 |
| Molecular Weight | 665.18 |
| CAS Registry Number | 117860-08-9 |
| SMILES | N3(C(=O)CC(OC(=O)C(C)C)C1(OC1C(C2OC(=O)NC(O)(C2)C(OC)\C=C\C=C(C(OC)C4=CC3=C(Cl)C(=C4)OC)/C)C)C)C |
| InChI | 1S/C33H45ClN2O10/c1-17(2)30(38)45-25-15-26(37)36(6)21-13-20(14-22(41-7)27(21)34)28(43-9)18(3)11-10-12-24(42-8)33(40)16-23(44-31(39)35-33)19(4)29-32(25,5)46-29/h10-14,17,19,23-25,28-29,40H,15-16H2,1-9H3,(H,35,39)/b12-10+,18-11+ |
| InChIKey | HCVXCBYLIZAAEV-SIBNOYASSA-N |
| Density | 1.301g/cm3 (Cal.) |
|---|---|
| Boiling point | 843.523°C at 760 mmHg (Cal.) |
| Flash point | 463.946°C (Cal.) |
| Market Analysis Reports |