|
CAS#: 117892-97-4 Product: N(alpha)-Dimethylcoprogen No suppilers available for the product. |
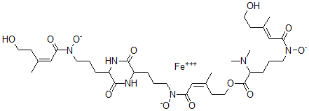
| Name | N(alpha)-Dimethylcoprogen |
|---|---|
| Synonyms | Ferric [(Z)-5-[3-[5-[3-[[(Z)-5-Hydroxy-3-Methyl-Pent-2-Enoyl]-Oxido-Amino]Propyl]-3,6-Dioxo-Piperazin-2-Yl]Propyl-Oxido-Amino]-3-Methyl-5-Oxo-Pent-3-Enyl] 2-Dimethylamino-5-[[(Z)-5-Hydroxy-3-Methyl-Pent-2-Enoyl]-Oxido-Amino]Pentanoate; Ferric 2-Dimethylamino-5-[[(Z)-5-Hydroxy-3-Methyl-1-Oxopent-2-Enyl]-Oxidoamino]Pentanoic Acid [(Z)-5-[3-[5-[3-[[(Z)-5-Hydroxy-3-Methyl-1-Oxopent-2-Enyl]-Oxidoamino]Propyl]-3,6-Dioxo-2-Piperazinyl]Propyl-Oxidoamino]-3-Methyl-5-Oxopent-3-Enyl] Ester; Ferric 2-Dimethylamino-5-[[(Z)-5-Hydroxy-3-Methyl-Pent-2-Enoyl]-Oxido-Amino]Valeric Acid [(Z)-5-[3-[5-[3-[[(Z)-5-Hydroxy-3-Methyl-Pent-2-Enoyl]-Oxido-Amino]Propyl]-3,6-Diketo-Piperazin-2-Yl]Propyl-Oxido-Amino]-5-Keto-3-Methyl-Pent-3-Enyl] Ester |
| Molecular Structure | ![]() |
| Molecular Formula | C35H55FeN6O12 |
| Molecular Weight | 807.70 |
| CAS Registry Number | 117892-97-4 |
| SMILES | C(C1NC(=O)C(NC1=O)CCCN([O-])C(=O)\C=C(/CCO)C)CCN([O-])C(=O)\C=C(/CCOC(=O)C(N(C)C)CCCN([O-])C(=O)\C=C(\CCO)C)C.[Fe+3] |
| InChI | 1S/C35H55N6O12.Fe/c1-24(12-18-42)21-30(44)39(50)15-6-9-27-33(47)37-28(34(48)36-27)10-7-16-40(51)32(46)23-26(3)14-20-53-35(49)29(38(4)5)11-8-17-41(52)31(45)22-25(2)13-19-43;/h21-23,27-29,42-43H,6-20H2,1-5H3,(H,36,48)(H,37,47);/q-3;+3/b24-21-,25-22+,26-23-; |
| InChIKey | JDHISTLPUACCFK-IYMJAPOQSA-N |
| Market Analysis Reports |