Identification
| Name |
Glidobactin H |
| Synonyms |
(2E)-N-[2-Hydroxy-1-[[(3E,8S,10R)-10-Hydroxy-5-Methyl-2,7-Dioxo-1,6-Diazacyclododec-3-En-8-Yl]Carbamoyl]Propyl]Penta-2,4-Dienamide; (2E)-N-[2-Hydroxy-1-[[[(3E,8S,10R)-10-Hydroxy-5-Methyl-2,7-Dioxo-1,6-Diazacyclododec-3-En-8-Yl]Amino]-Oxomethyl]Propyl]Penta-2,4-Dienamide; (2E)-N-[2-Hydroxy-1-[[(3E,8S,10R)-10-Hydroxy-2,7-Diketo-5-Methyl-1,6-Diazacyclododec-3-En-8-Yl]Carbamoyl]Propyl]Penta-2,4-Dienamide |
|
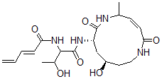
| Molecular Structure |
 |
| Molecular Formula |
C20H30N4O6 |
| Molecular Weight |
422.48 |
| CAS Registry Number |
119314-46-4 |
| SMILES |
[C@@H]1(NC(=O)C(NC(=O)\C=C\C=C)C(O)C)C(=O)NC(\C=C\C(=O)NCC[C@@H](O)C1)C |
| InChI |
1S/C20H30N4O6/c1-4-5-6-17(28)24-18(13(3)25)20(30)23-15-11-14(26)9-10-21-16(27)8-7-12(2)22-19(15)29/h4-8,12-15,18,25-26H,1,9-11H2,2-3H3,(H,21,27)(H,22,29)(H,23,30)(H,24,28)/b6-5+,8-7+/t12?,13?,14-,15+,18?/m1/s1 |
| InChIKey |
RFMLVNAGBNQIDH-JKBBSZFTSA-N |
|