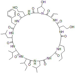
| Synonyms |
(3Z)-3-Ethylidene-36-Hydroxy-6,31-Bis(2-Hydroxyethyl)-16,25-Diisobutyl-10-Pentyl-28-(Phenylmethyl)-19,22-Disec-Butyl-1,4,7,11,14,17,20,23,26,29,32-Undecazabicyclo[32.3.0]Heptatriacontane-2,5,8,12,15,18,21,24,27,30,33-Undecone; (3Z)-10-Amyl-28-(Benzyl)-3-Ethylidene-36-Hydroxy-6,31-Bis(2-Hydroxyethyl)-16,25-Diisobutyl-19,22-Disec-Butyl-1,4,7,11,14,17,20,23,26,29,32-Undecazabicyclo[32.3.0]Heptatriacontane-2,5,8,12,15,18,21,24,27,30,33-Undecone; Hormothamnin A |
| InChI |
1S/C60H97N11O14/c1-11-15-17-22-39-30-48(75)63-42(23-25-72)53(78)64-41(14-4)60(85)71-33-40(74)31-47(71)57(82)65-43(24-26-73)54(79)67-46(29-38-20-18-16-19-21-38)55(80)66-45(28-35(7)8)56(81)69-51(37(10)13-3)59(84)70-50(36(9)12-2)58(83)68-44(27-34(5)6)52(77)61-32-49(76)62-39/h14,16,18-21,34-37,39-40,42-47,50-51,72-74H,11-13,15,17,22-33H2,1-10H3,(H,61,77)(H,62,76)(H,63,75)(H,64,78)(H,65,82)(H,66,80)(H,67,79)(H,68,83)(H,69,81)(H,70,84)/b41-14- |