| Achemica | Switzerland | |||
|---|---|---|---|---|
![]() |
+41 (24) 466-2929 | |||
![]() |
contact@achemica.com | |||
| Chemical manufacturer since 2010 | ||||
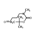
| Name | 2-Methyl-2-Propanyl Methyl(4-Oxobutyl)Carbamate |
|---|---|
| Synonyms | tert-butyl3-formylpropylmethylcarbamate |
| Molecular Structure | ![]() |
| Molecular Formula | C10H19NO3 |
| Molecular Weight | 201.26 |
| CAS Registry Number | 120984-59-0 |
| SMILES | CN(CCCC=O)C(=O)OC(C)(C)C |
| InChI | 1S/C10H19NO3/c1-10(2,3)14-9(13)11(4)7-5-6-8-12/h8H,5-7H2,1-4H3 |
| InChIKey | VSKKUZCPADUNJU-UHFFFAOYSA-N |
| Density | 0.998g/cm3 (Cal.) |
|---|---|
| Boiling point | 276.613°C at 760 mmHg (Cal.) |
| Flash point | 121.091°C (Cal.) |
| Refractive index | 1.448 (Cal.) |
| Market Analysis Reports |