Online Database of Chemicals from Around the World

S-(2-oxopentadecyl)-Coenzyme A
[CAS 121124-66-1]

Suppliers
CAS#: 121124-66-1
Product: S-(2-oxopentadecyl)-Coenzyme A
No suppilers available for the product.
Identification
Name S-(2-oxopentadecyl)-Coenzyme A
Synonyms [(2R,3S,4R,5R)-5-(6-Aminopurin-9-Yl)-4-Hydroxy-3-Phosphonooxy-Tetrahydrofuran-2-Yl]Methyl [Hydroxy-[3-Hydroxy-2,2-Dimethyl-4-Oxo-4-[[3-Oxo-3-[2-(2-Oxopentadecylsulfanyl)Ethylamino]Propyl]Amino]Butoxy]Phosphoryl] Hydrogen Phosphate; [(2R,3S,4R,5R)-5-(6-Amino-9-Purinyl)-4-Hydroxy-3-Phosphonooxy-2-Tetrahydrofuranyl]Methyl [Hydroxy-[3-Hydroxy-2,2-Dimethyl-4-Oxo-4-[[3-Oxo-3-[2-(2-Oxopentadecylthio)Ethylamino]Propyl]Amino]Butoxy]Phosphoryl] Hydrogen Phosphate; [(2R,3S,4R,5R)-5-(6-Aminopurin-9-Yl)-4-Hydroxy-3-Phosphonooxy-Tetrahydrofuran-2-Yl]Methyl [Hydroxy-[3-Hydroxy-4-Keto-4-[[3-Keto-3-[2-(2-Ketopentadecylthio)Ethylamino]Propyl]Amino]-2,2-Dimethyl-Butoxy]Phosphoryl] Hydrogen Phosphate
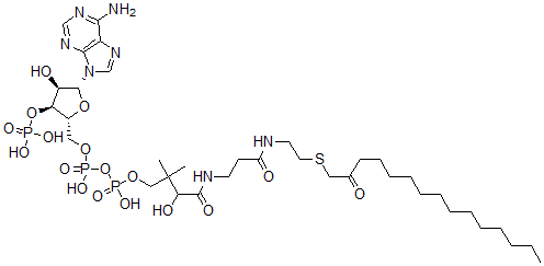
Molecular Structure CAS#: 121124-66-1, S-(2-oxopentadecyl)-Coenzyme A
Molecular Formula C36H64N7O17P3S
Molecular Weight 991.92
CAS Registry Number 121124-66-1
SMILES [C@H]3([N]2C1=C(C(=NC=N1)N)N=C2)[C@@H]([C@H](O[P](=O)(O)O)[C@H](O3)CO[P](O[P](OCC(C(C(=O)NCCC(=O)NCCSCC(=O)CCCCCCCCCCCCC)O)(C)C)(=O)O)(=O)O)O
InChI 1S/C36H64N7O17P3S/c1-4-5-6-7-8-9-10-11-12-13-14-15-25(44)21-64-19-18-38-27(45)16-17-39-34(48)31(47)36(2,3)22-57-63(54,55)60-62(52,53)56-20-26-30(59-61(49,50)51)29(46)35(58-26)43-24-42-28-32(37)40-23-41-33(28)43/h23-24,26,29-31,35,46-47H,4-22H2,1-3H3,(H,38,45)(H,39,48)(H,52,53)(H,54,55)(H2,37,40,41)(H2,49,50,51)/t26-,29-,30-,31?,35-/m1/s1
InChIKey JKWHUJMJVNMKEF-DJEJIMQCSA-N
Properties
Density 1.566g/cm3 (Cal.)
Market Analysis Reports
Related Products
5-Oxo-5-(4-oxo-...  N-[4-Oxo-5-(3-O...  3-Oxo-N-(2-Oxot...  3-Oxo-N-(2-Oxot...  (2Z)-4-Oxo-4-[(...  6-Oxo-N-(2-oxot...  (2Z)-3-Oxo-2-[2...  2-[2-Oxo-2-[(2-...  1-(1-Oxo-2-(4-O...  18-Oxopentacont...  (2S)-5-Oxo-1-[(...  4-Oxo-6-(Pentaf...  (2S)-5-Oxo-1-[(...  (4R,5R,6R,7R)-2...  4-Oxo-4-(pentam...  (2E)-4-Oxo-4-(P...  5-Oxo-5-(pentam...  2-Oxopentanedio...  2-Oxopentanedio...  2-Oxopentanedio...