Online Database of Chemicals from Around the World

Trichokonin VIII
[CAS 121689-08-5]

Suppliers
CAS#: 121689-08-5
Product: Trichokonin VIII
No suppilers available for the product.
Identification
Name Trichokonin VIII
Synonyms Trichosporin B Ivc
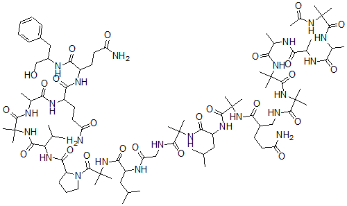
Molecular Structure CAS#: 121689-08-5, Trichokonin VIII
Molecular Formula C91H151N23O24
Molecular Weight 1951.33
CAS Registry Number 121689-08-5
SMILES C1=C(C=CC=C1)CC(CO)NC(C(CCC(N)=O)NC(C(NC(C(NC(C(NC(C(NC(C2N(C(C(NC(=O)C(NC(CNC(C(NC(C(NC(C(NC(C(CNC(C(NC(C(NC(C(NC(C(NC(C(NC(=O)C(C)(NC(C)=O)C)C)=O)C)=O)C)=O)(C)C)=O)(C)C)=O)CCC(N)=O)=O)(C)C)=O)CC(C)C)=O)(C)C)=O)=O)CC(C)C)(C)C)=O)CCC2)=O)C(C)C)=O)(C)C)=O)C)=O)CCC(N)=O)=O)=O
InChI 1S/C91H151N23O24/c1-46(2)40-59(74(128)111-91(24,25)84(138)114-39-29-32-61(114)76(130)106-66(48(5)6)77(131)112-88(18,19)81(135)100-51(9)69(123)103-58(35-38-64(94)119)73(127)104-57(34-37-63(93)118)72(126)101-56(45-115)42-54-30-27-26-28-31-54)102-65(120)44-96-78(132)85(12,13)110-75(129)60(41-47(3)4)105-82(136)89(20,21)109-71(125)55(33-36-62(92)117)43-95-79(133)86(14,15)113-83(137)90(22,23)108-70(124)52(10)98-67(121)49(7)97-68(122)50(8)99-80(134)87(16,17)107-53(11)116/h26-28,30-31,46-52,55-61,66,115H,29,32-45H2,1-25H3,(H2,92,117)(H2,93,118)(H2,94,119)(H,95,133)(H,96,132)(H,97,122)(H,98,121)(H,99,134)(H,100,135)(H,101,126)(H,102,120)(H,103,123)(H,104,127)(H,105,136)(H,106,130)(H,107,116)(H,108,124)(H,109,125)(H,110,129)(H,111,128)(H,112,131)(H,113,137)
InChIKey WARZAORRKPDZQR-UHFFFAOYSA-N
Market Analysis Reports
Related Products
Trichloro(10-Un...  Trichloroundecy...  (Trichlorovinyl...  S-(1,2,3-Trichl...  Trichlorovinyls...  Trichodecenin I...  Trichoderonin;T...  Trichodesmine;(...  Trichogin A IV;...  Trichokaurin;En...  Tricholine Bora...  Trichomonacid;N...  Trichomycin B;(...  Trichorabdal A  Trichorabdal B;...  Trichorabdal C;...  Trichorabdal H;...  Trichorzianine ...  Trichorzianine ...  Trichoside C;(3...