Online Database of Chemicals from Around the World

(2E,6E,10E)-14-[(2-O-Hexopyranosylhexopyranosyl)Oxy]-4-Hydroxy-2,6,10,14-Tetramethyl-2,6,10,15-Hexadecatetraenoic Acid
[CAS 121924-04-7]

Suppliers
CAS#: 121924-04-7
Product: (2E,6E,10E)-14-[(2-O-Hexopyranosylhexopyranosyl)Oxy]-4-Hydroxy-2,6,10,14-Tetramethyl-2,6,10,15-Hexadecatetraenoic Acid
No suppilers available for the product.
Identification
Name (2E,6E,10E)-14-[(2-O-Hexopyranosylhexopyranosyl)Oxy]-4-Hydroxy-2,6,10,14-Tetramethyl-2,6,10,15-Hexadecatetraenoic Acid
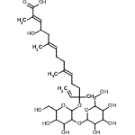
Molecular Structure CAS#: 121924-04-7, (2E,6E,10E)-14-[(2-O-Hexopyranosylhexopyranosyl)Oxy]-4-Hydroxy-2,6,10,14-Tetramethyl-2,6,10,15-Hexadecatetraenoic Acid
Molecular Formula C32H52O14
Molecular Weight 660.75
CAS Registry Number 121924-04-7
SMILES OC(=O)C(/C)=C/C(O)CC(\C)=C\CCC(\C)=C\CCC(C)(OC2OC(CO)C(O)C(O)C2OC1OC(CO)C(O)C(O)C1O)C=C
InChI 1S/C32H52O14/c1-6-32(5,12-8-11-17(2)9-7-10-18(3)13-20(35)14-19(4)29(41)42)46-31-28(26(39)24(37)22(16-34)44-31)45-30-27(40)25(38)23(36)21(15-33)43-30/h6,10-11,14,20-28,30-31,33-40H,1,7-9,12-13,15-16H2,2-5H3,(H,41,42)/b17-11+,18-10+,19-14+
InChIKey ISQUNAAALVXWGI-DFTZOVBQSA-N
Properties
Density 1.344g/cm3 (Cal.)
Boiling point 895.681°C at 760 mmHg (Cal.)
Flash point 278.189°C (Cal.)
Refractive index 1.588 (Cal.)
Market Analysis Reports
Related Products
Hexopyranose, 6...  Hexopyranosyl-(...  3-O-Hexopyranos...  4-O-Hexopyranos...  4-O-Hexopyranos...  2-O-Hexopyranos...  Hexopyranosyl-(...  Hexopyranosyl-(...  N-[(4E)-1-{[Hex...  N-{1-[(4-O-Hexo...  16-(Hexopyranos...  N-[1-(Hexopyran...  N-[(4E)-1-(Hexo...  11'-(Hexopyrano...  Hexopyranosyl-(...  4-O-Hexopyranos...  Hexopyranosyl 1...  (13C...  Hexose, 6-(dihy...  3,6,9,12,15,18-...