| Carbosynth China Ltd. | China | |||
|---|---|---|---|---|
![]() |
+86 (512) 6260-5585 | |||
![]() |
sales@carbosynth.com | |||
![]() |
QQ Chat | |||
| Chemical manufacturer since 2006 Chemical distributor since 2006 | ||||
| chemBlink massive supplier since 2016 | ||||
| Glentham Life Sciences | UK | |||
|---|---|---|---|---|
![]() |
+44 (2033) 978-798 | |||
![]() |
info@glenthamls.com | |||
| Chemical distributor since 2013 | ||||
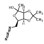
| Name | 6-Azido-1,6-dideoxy-3,4-O-isopropylidene-D-tagatofuranose |
|---|---|
| Synonyms | 6-Azido-1 |
| Molecular Structure | ![]() |
| Molecular Formula | C9H15N3O4 |
| Molecular Weight | 229.23 |
| CAS Registry Number | 122194-05-2 |
| SMILES | [N-]=[N+]=N\C[C@H]1OC(O)([C@H]2OC(O[C@@H]12)(C)C)C |
| InChI | 1S/C9H15N3O4/c1-8(2)15-6-5(4-11-12-10)14-9(3,13)7(6)16-8/h5-7,13H,4H2,1-3H3/t5-,6+,7+,9?/m1/s1 |
| InChIKey | ITMTWRNHTCDZNL-VWQWZFRASA-N |
| Refractive index | (Cal.) |
|---|---|
| Market Analysis Reports |