Online Database of Chemicals from Around the World

2-(O-(1-oxo-4-((4-(3-(trifluoromethyl)-3H-diazirin-3-yl)benzoyl)amino)butyl)-D-serine)-Cyclosporin A
[CAS 124824-01-7]

Suppliers
CAS#: 124824-01-7
Product: 2-(O-(1-oxo-4-((4-(3-(trifluoromethyl)-3H-diazirin-3-yl)benzoyl)amino)butyl)-D-serine)-Cyclosporin A
No suppilers available for the product.
Identification
Name 2-(O-(1-oxo-4-((4-(3-(trifluoromethyl)-3H-diazirin-3-yl)benzoyl)amino)butyl)-D-serine)-Cyclosporin A
Synonyms [17-Ethyl-14-[(E)-1-Hydroxy-2-Methyl-Hex-4-Enyl]-5,8,23,29-Tetraisobutyl-11,26-Diisopropyl-4,7,10,13,19,22,28,32-Octamethyl-3,6,9,12,15,18,21,24,27,30,33-Undecaoxo-1,4,7,10,13,16,19,22,25,28,31-Undecazacyclotritriacont-2-Yl]Methyl 4-[[4-[3-(Trifluoromethyl)Diazirin-3-Yl]Benzoyl]Amino]Butanoate; 4-[[Oxo-[4-[3-(Trifluoromethyl)-3-Diazirinyl]Phenyl]Methyl]Amino]Butanoic Acid [17-Ethyl-14-[(E)-1-Hydroxy-2-Methylhex-4-Enyl]-5,8,23,29-Tetraisobutyl-11,26-Diisopropyl-4,7,10,13,19,22,28,32-Octamethyl-3,6,9,12,15,18,21,24,27,30,33-Undecaoxo-1,4,7,10,13,16,19,22,25,28,31-Undecazacyclotritriacont-2-Yl]Methyl Ester; 4-[[4-[3-(Trifluoromethyl)Diazirin-3-Yl]Benzoyl]Amino]Butyric Acid [17-Ethyl-14-[(E)-1-Hydroxy-2-Methyl-Hex-4-Enyl]-5,8,23,29-Tetraisobutyl-11,26-Diisopropyl-3,6,9,12,15,18,21,24,27,30,33-Undecaketo-4,7,10,13,19,22,28,32-Octamethyl-1,4,7,10,13,16,19,22,25,28,31-Undecazacyclotritriacont-2-Yl]Methyl Ester
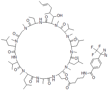
Molecular Structure CAS#: 124824-01-7, 2-(O-(1-oxo-4-((4-(3-(trifluoromethyl)-3H-diazirin-3-yl)benzoyl)amino)butyl)-D-serine)-Cyclosporin A
Molecular Formula C75H121F3N14O15
Molecular Weight 1515.86
CAS Registry Number 124824-01-7
SMILES C2=C(C1(N=N1)C(F)(F)F)C=CC(=C2)C(=O)NCCCC(OCC3NC(=O)C(NC(=O)C(N(C(=O)C(NC(=O)C(N(C(=O)CN(C(=O)C(NC(=O)C(N(C(=O)C(N(C(=O)C(N(C(=O)C(N(C3=O)C)CC(C)C)C)CC(C)C)C)C(C)C)C)C(O)C(C\C=C\C)C)CC)C)C)CC(C)C)C(C)C)C)CC(C)C)C)=O
InChI 1S/C75H121F3N14O15/c1-24-26-28-47(15)62(95)61-67(100)81-51(25-2)68(101)86(17)39-57(93)87(18)53(35-41(3)4)66(99)83-59(45(11)12)72(105)88(19)54(36-42(5)6)65(98)80-48(16)63(96)82-52(40-107-58(94)29-27-34-79-64(97)49-30-32-50(33-31-49)74(84-85-74)75(76,77)78)69(102)89(20)55(37-43(7)8)70(103)90(21)56(38-44(9)10)71(104)91(22)60(46(13)14)73(106)92(61)23/h24,26,30-33,41-48,51-56,59-62,95H,25,27-29,34-40H2,1-23H3,(H,79,97)(H,80,98)(H,81,100)(H,82,96)(H,83,99)/b26-24+
InChIKey QEICTVPFTXXWLS-SHHOIMCASA-N
Properties
Density 1.239g/cm3 (Cal.)
Market Analysis Reports
Related Products
2-Oxo-4-(triflu...  2-[4-Oxo-3-[[5-...  2-Oxo-1-[4-(tri...  5-Oxo-1-[4-(Tri...  3-Oxo-2-(triflu...  N-[2-Oxo-4-(Tri...  N-[2-Oxo-4-(Tri...  [2-Oxo-4-(Trifl...  3-Oxo-1-(triflu...  beta-Oxo-1-(tri...  [3-Oxo-6-(trifl...  2-Oxo-5-(Triflu...  2-Oxo-5-(Triflu...  6-Oxo-4-(triflu...  4-Oxo-6-(triflu...  (2Z)-4-Oxo-4-[3...  (2Z)-4-Oxo-4-[3...  Oxo[4-(Trifluor...  Oxo-(4-Trifluor...  2-Oxo-2-[[4-(tr...