Online Database of Chemicals from Around the World

Lienomycin
[CAS 12710-02-0]

Suppliers
CAS#: 12710-02-0
Product: Lienomycin
No suppilers available for the product.
Identification
Name Lienomycin
Synonyms 44-[(1E,4R,5E,8R)-11-Amino-4,8-Dihydroxy-Undeca-1,5-Dienyl]-23-But-3-Enyl-16,18,30,32,34,38,40,42-Octahydroxy-15,17,27-Trimethyl-26-[(2R,3R,4R,5R,6S)-3,4,5-Trihydroxy-6-Methyl-Tetrahydropyran-2-Yl]Oxy-1-Oxacyclotetratetraconta-5,7,9,11,13,19,23,35-Octaene-2,28-Dione; 44-[(1E,4R,5E,8R)-11-Amino-4,8-Dihydroxyundeca-1,5-Dienyl]-23-But-3-Enyl-16,18,30,32,34,38,40,42-Octahydroxy-15,17,27-Trimethyl-26-[[(2R,3R,4R,5R,6S)-3,4,5-Trihydroxy-6-Methyl-2-Tetrahydropyranyl]Oxy]-1-Oxacyclotetratetraconta-5,7,9,11,13,19,23,35-Octaene-2,28-Dione; 44-[(1E,4R,5E,8R)-11-Amino-4,8-Dihydroxy-Undeca-1,5-Dienyl]-23-But-3-Enyl-16,18,30,32,34,38,40,42-Octahydroxy-15,17,27-Trimethyl-26-[(2R,3R,4R,5R,6S)-3,4,5-Trihydroxy-6-Methyl-Tetrahydropyran-2-Yl]Oxy-1-Oxacyclotetratetraconta-5,7,9,11,13,19,23,35-Octaene-2,28-Quinone
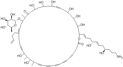
Molecular Structure CAS#: 12710-02-0, Lienomycin
Molecular Formula C67H107NO18
Molecular Weight 1214.58
CAS Registry Number 12710-02-0
SMILES [C@H]1(O[C@H]([C@H](O)[C@@H](O)[C@H]1O)C)OC2C(C(=O)CC(O)CC(O)CC(O)\C=C/CC(O)CC(O)CC(O)CC(OC(=O)CC\C=C/C=C\C=C/C=C\C=C/C(C(O)C(C(O)\C=C/CCC(=C/C2)\CCC=C)C)C)\C=C\C[C@@H](O)\C=C\C[C@H](O)CCCN)C
InChI 1S/C67H107NO18/c1-6-7-25-49-26-18-19-34-59(77)47(4)63(80)45(2)24-16-14-12-10-8-9-11-13-15-17-35-62(79)85-58(33-22-29-50(69)27-20-28-51(70)32-23-38-68)43-56(75)41-54(73)39-52(71)30-21-31-53(72)40-55(74)42-57(76)44-60(78)46(3)61(37-36-49)86-67-66(83)65(82)64(81)48(5)84-67/h6,8-16,19-22,24,27,31,33-34,36,45-48,50-59,61,63-67,69-77,80-83H,1,7,17-18,23,25-26,28-30,32,35,37-44,68H2,2-5H3/b10-8-,11-9-,14-12-,15-13-,24-16-,27-20+,31-21-,33-22+,34-19-,49-36-/t45?,46?,47?,48-,50-,51-,52?,53?,54?,55?,56?,57?,58?,59?,61?,63?,64-,65+,66+,67-/m0/s1
InChIKey YUGKVAOWNQMSPU-VJQRYWHOSA-N
Market Analysis Reports
Related Products
Licryfilcon A;2...  Lidanserin;4-[3...  Lidocaine;2-(Di...  Lidocaine EP im...  Lidocaine hydro...  Lidocaine Impur...  Lidocaine impur...  Lidocaine-d10 N...  Lidoflazine;2-[...  Lidorestat;[3-(...  Liensinine;4-[[...  Liensinine dipe...  Liensinine perc...  Lifibrate;(1-Me...  Lifibrol;4-[4-(...  Lificiguat;1-Be...  Lifitegrast;N-[...  ASGPR ligand-1;...  E3 ligase Ligan...  E3 ligase Ligan...