Online Database of Chemicals from Around the World

3,4,5-Trihydroxy-6-[[3,4,5-Trihydroxy-6-[5-Hydroxy-2-Methoxy-6-Methyl-4-[3,4,5-Trihydroxy-6-(Hydroxymethyl)Oxan-2-Yl]Oxyoxan-3-Yl]Oxyoxan-2-Yl]Methoxy]Oxane-2-Carboxylic Acid
[CAS 128643-92-5]

Suppliers
CAS#: 128643-92-5
Product: 3,4,5-Trihydroxy-6-[[3,4,5-Trihydroxy-6-[5-Hydroxy-2-Methoxy-6-Methyl-4-[3,4,5-Trihydroxy-6-(Hydroxymethyl)Oxan-2-Yl]Oxyoxan-3-Yl]Oxyoxan-2-Yl]Methoxy]Oxane-2-Carboxylic Acid
No suppilers available for the product.
Identification
Name 3,4,5-Trihydroxy-6-[[3,4,5-Trihydroxy-6-[5-Hydroxy-2-Methoxy-6-Methyl-4-[3,4,5-Trihydroxy-6-(Hydroxymethyl)Oxan-2-Yl]Oxyoxan-3-Yl]Oxyoxan-2-Yl]Methoxy]Oxane-2-Carboxylic Acid
Synonyms 3,4,5-Trihydroxy-6-[[3,4,5-Trihydroxy-6-[5-Hydroxy-2-Methoxy-6-Methyl-4-[3,4,5-Trihydroxy-6-(Hydroxymethyl)Tetrahydropyran-2-Yl]Oxy-Tetrahydropyran-3-Yl]Oxy-Tetrahydropyran-2-Yl]Methoxy]Tetrahydropyran-2-Carboxylic Acid; 3,4,5-Trihydroxy-6-[[3,4,5-Trihydroxy-6-[[5-Hydroxy-2-Methoxy-6-Methyl-4-[[3,4,5-Trihydroxy-6-(Hydroxymethyl)-2-Tetrahydropyranyl]Oxy]-3-Tetrahydropyranyl]Oxy]-2-Tetrahydropyranyl]Methoxy]-2-Tetrahydropyrancarboxylic Acid; 3,4,5-Trihydroxy-6-[[3,4,5-Trihydroxy-6-[5-Hydroxy-2-Methoxy-6-Methyl-4-(3,4,5-Trihydroxy-6-Methylol-Tetrahydropyran-2-Yl)Oxy-Tetrahydropyran-3-Yl]Oxy-Tetrahydropyran-2-Yl]Methoxy]Tetrahydropyran-2-Carboxylic Acid
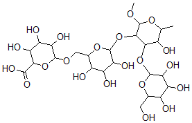
Molecular Structure CAS#: 128643-92-5, 3,4,5-Trihydroxy-6-[[3,4,5-Trihydroxy-6-[5-Hydroxy-2-Methoxy-6-Methyl-4-[3,4,5-Trihydroxy-6-(Hydroxymethyl)Oxan-2-Yl]Oxyoxan-3-Yl]Oxyoxan-2-Yl]Methoxy]Oxane-2-Carboxylic Acid
Molecular Formula C25H42O21
Molecular Weight 678.59
CAS Registry Number 128643-92-5
SMILES C(C4C(C(C(C(OC1C(C(OC(C1OC2C(C(C(C(O2)COC3C(C(C(C(O3)C(O)=O)O)O)O)O)O)O)OC)C)O)O4)O)O)O)O
InChI 1S/C25H42O21/c1-5-8(27)18(44-23-16(35)11(30)9(28)6(3-26)42-23)20(25(39-2)41-5)46-24-17(36)12(31)10(29)7(43-24)4-40-22-15(34)13(32)14(33)19(45-22)21(37)38/h5-20,22-36H,3-4H2,1-2H3,(H,37,38)
InChIKey JLGBHQRXLBYEBD-UHFFFAOYSA-N
Properties
Density 1.753g/cm3 (Cal.)
Boiling point 1000.076°C at 760 mmHg (Cal.)
Flash point 323.387°C (Cal.)
Market Analysis Reports
Related Products
2-[(2R,3S,4R,5R...  (2S,3S,4S,5R,6S...  [(2R,3R,4S,5R,6...  (2S,3R,4S,5R,6S...  5,3',4'-Trihydr...  4-[(2S,3R,4S,5S...  1,3,5-Trihydrox...  1,3,5-Trihydrox...  (2S,3S,4S,5R,6R...  2,3,4-Trihydrox...  [3,4,5-Trihydro...  2-[[(2R,3S,4R,5...  [(2S,3R,4S,5S,6...  (2R,4S,5R,6R)-2...  (6R,6aS,12aR)-6...  5,5',6'-Trihydr...  5,7,3'-Trihydro...  3,5,7-Trihydrox...  5,7,3'-Trihydro...  5,2',6'-Trihydr...