Online Database of Chemicals from Around the World

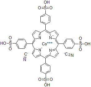
Dicyano-cobalt(III)-tetrakis(4-sulfonatophenyl)porphyrin
[CAS 129232-35-5]

Suppliers
Achemica Switzerland
+41 (24) 466-2929
contact@achemica.com
Chemical manufacturer since 2010
Identification
Name Dicyano-cobalt(III)-tetrakis(4-sulfonatophenyl)porphyrin
Synonyms Dicyano-Cobalt(Iii)-Tetrakis(4-Sulfonatophenyl)Porphyrin; (Oc-6-12)-Bis(Cyano-C)((4,4',4'',4'''-(21H,23H-Prophine-5,10,15,20-Tetrayl)Tetrakis(Benzenesulfonato))(6-)-N21,N22,N23,N24)Cobaltate(5-) Tetrahydrogen; Cn2-Co(Iii)-Tpps
Molecular Structure CAS#: 129232-35-5, Dicyano-cobalt(III)-tetrakis(4-sulfonatophenyl)porphyrin
Molecular Formula C46H28CoN6O12S4
Molecular Weight 1043.93
CAS Registry Number 129232-35-5
SMILES [Co+3].[N-]1C2=CC=C1C(=C8N=C(C(=C6N=C(C(=C4[N-]C(=C2C3=CC=C([S]([O-])(=O)=O)C=C3)C=C4)C5=CC=C([S]([O-])(=O)=O)C=C5)C=C6)C7=CC=C([S]([O-])(=O)=O)C=C7)C=C8)C9=CC=C([S]([O-])(=O)=O)C=C9.[H+].[H+].[H+].[H+].N#[C-].[C-]#N
InChI 1S/C44H28N4O12S4.2CN.Co/c49-61(50,51)29-9-1-25(2-10-29)41-33-17-19-35(45-33)42(26-3-11-30(12-4-26)62(52,53)54)37-21-23-39(47-37)44(28-7-15-32(16-8-28)64(58,59)60)40-24-22-38(48-40)43(36-20-18-34(41)46-36)27-5-13-31(14-6-27)63(55,56)57;2*1-2;/h1-24H,(H,49,50,51)(H,52,53,54)(H,55,56,57)(H,58,59,60);;;/q-2;2*-1;+3
InChIKey UCSJITYNJWWLCX-UHFFFAOYSA-N
Market Analysis Reports
Related Products
alpha,alpha-Dic...  alpha,beta-Dicy...  5,5-Dicyano-3,3...  alpha1,alpha4-D...  N-(4,4-Dicyano-...  N-[2-(4,4-Dicya...  N-(4,4-Dicyano-...  1,4-Dicyanobuta...  (2E)-2,3-Dicyan...  Dicyano-cobalt(...  Dicyano-cobalt(...  Dicyanocobyrini...  Dicyano{4-[(1Z)...  1,2-Dicyanocycl...  N,N'-Dicyanodec...  Dicyanodiamide;...  4,5-Dicyano-1,2...  4,4'-[(4,5-dicy...  2,3-Dicyano-1,4...  3,4-Dicyano-2,5...