|
CAS#: 129729-05-1 Product: (2R,3S,4S,5R,6R)-2-(2-Hydroxyethyl)-6-[(2R,3R,4S,5S,6R)-3,4,5-Trihydroxy-6-(2-Hydroxyethyl)Oxan-2-Yl]Oxyoxane-3,4,5-Triol No suppilers available for the product. |
| Name | (2R,3S,4S,5R,6R)-2-(2-Hydroxyethyl)-6-[(2R,3R,4S,5S,6R)-3,4,5-Trihydroxy-6-(2-Hydroxyethyl)Oxan-2-Yl]Oxyoxane-3,4,5-Triol |
|---|---|
| Synonyms | (2R,3S,4S,5R,6R)-2-(2-Hydroxyethyl)-6-[(2R,3R,4S,5S,6R)-3,4,5-Trihydroxy-6-(2-Hydroxyethyl)Tetrahydropyran-2-Yl]Oxy-Tetrahydropyran-3,4,5-Triol; (2R,3S,4S,5R,6R)-2-(2-Hydroxyethyl)-6-[[(2R,3R,4S,5S,6R)-3,4,5-Trihydroxy-6-(2-Hydroxyethyl)-2-Tetrahydropyranyl]Oxy]Tetrahydropyran-3,4,5-Triol; (2R,3S,4S,5R,6R)-2-(2-Hydroxyethyl)-6-[(2R,3R,4S,5S,6R)-3,4,5-Trihydroxy-6-(2-Hydroxyethyl)Oxan-2-Yl]Oxy-Oxane-3,4,5-Triol |
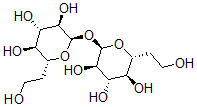
| Molecular Structure | ![]() |
| Molecular Formula | C14H26O11 |
| Molecular Weight | 370.35 |
| CAS Registry Number | 129729-05-1 |
| SMILES | [C@@H]1([C@@H]([C@H]([C@H](O[C@@H]1CCO)O[C@@H]2[C@@H]([C@H]([C@@H]([C@H](O2)CCO)O)O)O)O)O)O |
| InChI | 1S/C14H26O11/c15-3-1-5-7(17)9(19)11(21)13(23-5)25-14-12(22)10(20)8(18)6(24-14)2-4-16/h5-22H,1-4H2/t5-,6-,7-,8-,9+,10+,11-,12-,13-,14-/m1/s1 |
| InChIKey | BHOTZHLVAUACCY-LOUZWEESSA-N |
| Density | 1.638g/cm3 (Cal.) |
|---|---|
| Boiling point | 672.412°C at 760 mmHg (Cal.) |
| Flash point | 360.462°C (Cal.) |
| Market Analysis Reports |