Online Database of Chemicals from Around the World

Lincosamine
[CAS 13006-69-4]

Suppliers
Carbosynth China Ltd. China
+86 (512) 6260-5585
sales@carbosynth.com
QQ Chat
Chemical manufacturer since 2006
Chemical distributor since 2006
chemBlink massive supplier since 2016
Identification
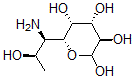
Name Lincosamine
Synonyms (3R,4S,5R,6R)-6-[(1R,2R)-1-Amino-2-Hydroxy-Propyl]Tetrahydropyran-2,3,4,5-Tetrol; (3R,4S,5R,6R)-6-[(1R,2R)-1-Amino-2-Hydroxypropyl]Tetrahydropyran-2,3,4,5-Tetrol; (3R,4S,5R,6R)-6-[(1R,2R)-1-Amino-2-Hydroxy-Propyl]Oxane-2,3,4,5-Tetrol
Molecular Structure CAS#: 13006-69-4, Lincosamine
Molecular Formula C8H17NO6
Molecular Weight 223.23
CAS Registry Number 13006-69-4
SMILES [C@@H](C)([C@H]([C@@H]1[C@@H]([C@@H]([C@H](C(O)O1)O)O)O)N)O
InChI 1S/C8H17NO6/c1-2(10)3(9)7-5(12)4(11)6(13)8(14)15-7/h2-8,10-14H,9H2,1H3/t2-,3-,4+,5-,6-,7-,8?/m1/s1
InChIKey KOFBVFFPLADGGO-DUSUDKPKSA-N
Market Analysis Reports
Related Products
Linarotene;4-Me...  Lincomycin ;Met...  (7S)-Lincomycin...  Lincomycin 2,7-...  Lincomycin EP I...  Lincomycin hydr...  Lincomycin hydr...  7-Epi Lincomyci...  Lincomycin 2-Pa...  Lincomycin 2-ph...  Lincospectin;Li...  gamma-Lindane-1...  Lindane;gamma-B...  Lindenenol;Lind...  Linden, Tilia C...  Linderalactone  Linderane  Linderaspirone ...  Linderene aceta...  Linderone