Online Database of Chemicals from Around the World

[5-Hydroxy-6-[[5-Hydroxy-6-(Hydroxymethyl)-3-(3-Hydroxytetradecanoylamino)-4-(3-Hydroxytetradecanoyloxy)Oxan-2-Yl]Oxymethyl]-3-(3-Hydroxytetradecanoylamino)-4-(3-Hydroxytetradecanoyloxy)Oxan-2-Yl]Phosphonic Acid
[CAS 131061-35-3]

Suppliers
CAS#: 131061-35-3
Product: [5-Hydroxy-6-[[5-Hydroxy-6-(Hydroxymethyl)-3-(3-Hydroxytetradecanoylamino)-4-(3-Hydroxytetradecanoyloxy)Oxan-2-Yl]Oxymethyl]-3-(3-Hydroxytetradecanoylamino)-4-(3-Hydroxytetradecanoyloxy)Oxan-2-Yl]Phosphonic Acid
No suppilers available for the product.
Identification
Name [5-Hydroxy-6-[[5-Hydroxy-6-(Hydroxymethyl)-3-(3-Hydroxytetradecanoylamino)-4-(3-Hydroxytetradecanoyloxy)Oxan-2-Yl]Oxymethyl]-3-(3-Hydroxytetradecanoylamino)-4-(3-Hydroxytetradecanoyloxy)Oxan-2-Yl]Phosphonic Acid
Synonyms [5-Hydroxy-6-[[5-Hydroxy-6-(Hydroxymethyl)-3-(3-Hydroxytetradecanoylamino)-4-(3-Hydroxytetradecanoyloxy)Tetrahydropyran-2-Yl]Oxymethyl]-3-(3-Hydroxytetradecanoylamino)-4-(3-Hydroxytetradecanoyloxy)Tetrahydropyran-2-Yl]Phosphonic Acid; [5-Hydroxy-6-[[5-Hydroxy-6-(Hydroxymethyl)-4-(3-Hydroxy-1-Oxotetradecoxy)-3-[(3-Hydroxy-1-Oxotetradecyl)Amino]-2-Tetrahydropyranyl]Oxymethyl]-4-(3-Hydroxy-1-Oxotetradecoxy)-3-[(3-Hydroxy-1-Oxotetradecyl)Amino]-2-Tetrahydropyranyl]Phosphonic Acid; [5-Hydroxy-6-[[5-Hydroxy-3-(3-Hydroxytetradecanoylamino)-4-(3-Hydroxytetradecanoyloxy)-6-Methylol-Tetrahydropyran-2-Yl]Oxymethyl]-3-(3-Hydroxytetradecanoylamino)-4-(3-Hydroxytetradecanoyloxy)Tetrahydropyran-2-Yl]Phosphonic Acid
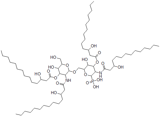
Molecular Structure CAS#: 131061-35-3, [5-Hydroxy-6-[[5-Hydroxy-6-(Hydroxymethyl)-3-(3-Hydroxytetradecanoylamino)-4-(3-Hydroxytetradecanoyloxy)Oxan-2-Yl]Oxymethyl]-3-(3-Hydroxytetradecanoylamino)-4-(3-Hydroxytetradecanoyloxy)Oxan-2-Yl]Phosphonic Acid
Molecular Formula C68H129N2O19P
Molecular Weight 1309.74
CAS Registry Number 131061-35-3
SMILES C(C(NC1C(C(O)C(CO)OC1OCC2C(C(C(NC(CC(O)CCCCCCCCCCC)=O)C(O2)[P](=O)(O)O)OC(CC(O)CCCCCCCCCCC)=O)O)OC(CC(O)CCCCCCCCCCC)=O)=O)C(O)CCCCCCCCCCC
InChI 1S/C68H129N2O19P/c1-5-9-13-17-21-25-29-33-37-41-51(72)45-57(76)69-61-65(88-59(78)47-53(74)43-39-35-31-27-23-19-15-11-7-3)63(80)55(49-71)86-67(61)85-50-56-64(81)66(89-60(79)48-54(75)44-40-36-32-28-24-20-16-12-8-4)62(68(87-56)90(82,83)84)70-58(77)46-52(73)42-38-34-30-26-22-18-14-10-6-2/h51-56,61-68,71-75,80-81H,5-50H2,1-4H3,(H,69,76)(H,70,77)(H2,82,83,84)
InChIKey RXMIYVKPBNCKJG-UHFFFAOYSA-N
Properties
Density 1.162g/cm3 (Cal.)
Market Analysis Reports
Related Products
5'-O-[Hydroxy[[...  9-[5-O-[Hydroxy...  [4-Hydroxy-5-[[...  (2S,3R,4S)-3-Hy...  [5-Hydroxy-2-[6...  2-Hydroxy-10-[5...  (6E)-8-(9-Hydro...  10-Hydroxy-8-[(...  8-Hydroxy-2-[8-...  (-)-5-Hydroxy-3...  Hydroxy[[5-Hydr...  Hydroxy{[5-hydr...  3-{5-Hydroxy-8-...  [(E)-5-[Hydroxy...  4-O-[2-Hydroxy-...  1-Hydroxy-13-[(...  N-[(E,3R,4R,5R,...  2-[2-[1-Hydroxy...  2-[[(2S,3S)-3-H...  4-Hydroxy-5-((2...