Identification
| Name |
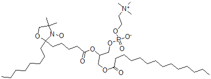
2-(10-Hydroxy-14,14-Dimethyl-5-Oxo-7-(((1-Oxotetradecyl)Oxy)Methyl)-6,9,11-Trioxa-14-Azonia-10-Phosphapentadec-1-Yl)-4,4-Dimethyl-2-Octyl-3-Oxazolidinyloxy Hydroxide Inner Salt P-Oxide |
| Synonyms |
6-Dmpcsl; 1-Myristoyl-2-(6-(4,4-Dimethyloxazolidine-N-Oxyl)Myristoyl)-3-Phosphatidylcholine |
|
| Molecular Structure |
 |
| Molecular Formula |
C40H78N2O10P |
| Molecular Weight |
778.04 |
| CAS Registry Number |
131483-46-0 |
| SMILES |
[O]N1C(OCC1(C)C)(CCCCC(OC(CO[P](OCC[N+](C)(C)C)([O-])=O)COC(=O)CCCCCCCCCCCCC)=O)CCCCCCCC |
| InChI |
1S/C40H78N2O10P/c1-8-10-12-14-16-17-18-19-20-21-23-27-37(43)48-33-36(34-51-53(46,47)50-32-31-42(5,6)7)52-38(44)28-24-26-30-40(29-25-22-15-13-11-9-2)41(45)39(3,4)35-49-40/h36H,8-35H2,1-7H3 |
| InChIKey |
ZYCXVLAIMUIENS-UHFFFAOYSA-N |
|