|
CAS#: 133019-01-9 Product: Gadolinium Dtpa-1-hydroxy-3-aminopropane-1,1-diphosphonate No suppilers available for the product. |
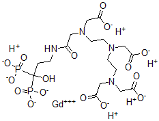
| Name | Gadolinium Dtpa-1-hydroxy-3-aminopropane-1,1-diphosphonate |
|---|---|
| Synonyms | Gadolinium(+3) Cation; Hydron; 2-[2-[2-[[2-[(3-Hydroxy-3,3-Diphosphonato-Propyl)Amino]-2-Oxo-Ethyl]-(2-Oxido-2-Oxo-Ethyl)Amino]Ethyl-(2-Oxido-2-Oxo-Ethyl)Amino]Ethyl-(2-Oxido-2-Oxo-Ethyl)Amino]Acetate; Gadolinium(+3) Cation; Hydron; 2-[2-[2-[[2-[(3-Hydroxy-3,3-Diphosphonato-Propyl)Amino]-2-Keto-Ethyl]-(2-Keto-2-Oxido-Ethyl)Amino]Ethyl-(2-Keto-2-Oxido-Ethyl)Amino]Ethyl-(2-Keto-2-Oxido-Ethyl)Amino]Acetate |
| Molecular Structure | ![]() |
| Molecular Formula | C17H29GdN4O16P2 |
| Molecular Weight | 764.63 |
| CAS Registry Number | 133019-01-9 |
| SMILES | [Gd+3].[H+].[H+].[H+].[H+].[H+].C(C([P]([O-])([O-])=O)([P]([O-])([O-])=O)O)CNC(=O)CN(CCN(CCN(CC([O-])=O)CC([O-])=O)CC([O-])=O)CC([O-])=O |
| InChI | 1S/C17H32N4O16P2.Gd/c22-12(18-2-1-17(31,38(32,33)34)39(35,36)37)7-20(9-14(25)26)5-3-19(8-13(23)24)4-6-21(10-15(27)28)11-16(29)30;/h31H,1-11H2,(H,18,22)(H,23,24)(H,25,26)(H,27,28)(H,29,30)(H2,32,33,34)(H2,35,36,37);/q;+3/p-3 |
| InChIKey | WVZSYPBNCUZLCL-UHFFFAOYSA-K |
| Market Analysis Reports |