Online Database of Chemicals from Around the World

(6-Aminohexanoic Acid(5-24),gamma-Glutamyl(2)-epsilon-Lysyl(30))Neuropeptide Y
[CAS 133970-32-8]

Suppliers
CAS#: 133970-32-8
Product: (6-Aminohexanoic Acid(5-24),gamma-Glutamyl(2)-epsilon-Lysyl(30))Neuropeptide Y
No suppilers available for the product.
Identification
Name (6-Aminohexanoic Acid(5-24),gamma-Glutamyl(2)-epsilon-Lysyl(30))Neuropeptide Y
Synonyms (Ahx(5-24),Gamma-Glu(2)-Epsilon-Lys(30))Npy; L-Tyrosinamide, N2-(1-Oxo-6-((N2-(N-(N-L-Tyrosyl-L-Alpha-Glutamyl)-L-Seryl)-L-Lysyl)Amino)Hexyl)-L-Arginyl-L-Histidyl-L-Tyrosyl-L-Isoleucyl-L-Asparginyl-L-Lysyl-L-Isoleucyl-L-Threonyl-L-Arginyl-L-Glutaminyl-L-Arginyl; Neuropeptide Y, Ahx(5-24), Gamma-Glu(2)-Epsilon-Lys(30)-
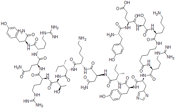
Molecular Structure CAS#: 133970-32-8, (6-Aminohexanoic Acid(5-24),gamma-Glutamyl(2)-epsilon-Lysyl(30))Neuropeptide Y
Molecular Formula C102H163N33O26
Molecular Weight 2267.62
CAS Registry Number 133970-32-8
SMILES [C@H](C(=O)N)(NC([C@@H](NC([C@@H](NC([C@@H](NC([C@@H](NC([C@@H](NC([C@@H](NC([C@@H](NC([C@@H](NC([C@@H](NC([C@@H](NC([C@@H](NC(CCCCCNC([C@@H](NC([C@@H](NC([C@@H](NC([C@@H](N)CC1=CC=C(O)C=C1)=O)CCC(=O)O)=O)CO)=O)CCCCN)=O)=O)CCCNC(=N)N)=O)CC2C=NC=N2)=O)CC3=CC=C(O)C=C3)=O)[C@H](CC)C)=O)CC(=O)N)=O)CCCCN)=O)[C@H](CC)C)=O)[C@@H](C)O)=O)CCCNC(=N)N)=O)CCC(=O)N)=O)CCCNC(=N)N)=O)CC4=CC=C(O)C=C4
InChI 1S/C102H163N33O26/c1-6-54(3)81(97(159)131-75(50-78(107)142)94(156)125-67(19-11-13-41-104)92(154)133-82(55(4)7-2)98(160)135-83(56(5)137)99(161)127-69(22-17-45-119-102(113)114)88(150)126-70(36-38-77(106)141)90(152)124-68(21-16-44-118-101(111)112)89(151)128-72(84(108)146)47-58-26-32-62(139)33-27-58)134-95(157)73(48-59-28-34-63(140)35-29-59)129-93(155)74(49-60-51-115-53-120-60)130-87(149)66(20-15-43-117-100(109)110)121-79(143)23-9-8-14-42-116-86(148)65(18-10-12-40-103)123-96(158)76(52-136)132-91(153)71(37-39-80(144)145)122-85(147)64(105)46-57-24-30-61(138)31-25-57/h24-35,51,53-56,60,64-76,81-83,136-140H,6-23,36-50,52,103-105H2,1-5H3,(H2,106,141)(H2,107,142)(H2,108,146)(H,116,148)(H,121,143)(H,122,147)(H,123,158)(H,124,152)(H,125,156)(H,126,150)(H,127,161)(H,128,151)(H,129,155)(H,130,149)(H,131,159)(H,132,153)(H,133,154)(H,134,157)(H,135,160)(H,144,145)(H4,109,110,117)(H4,111,112,118)(H4,113,114,119)/t54-,55-,56+,60?,64-,65-,66-,67-,68-,69-,70-,71-,72-,73-,74-,75-,76-,81-,82-,83-/m0/s1
InChIKey QYCUUTYNWJZMLV-CDJQWVORSA-N
Market Analysis Reports
Related Products
6-Aminohexaneni...  2-Aminohexaneni...  5-Aminohexane-1...  6-Amino-1-Hexan...  6-Aminohexanoic...  4-Aminohexanoic...  3-Aminohexanoic...  (R)-3-Aminohexa...  (S)-3-Aminohexa...  6-Amino-Hexanoi...  6-Aminohexanoic...  6-Aminohexanoic...  6-Aminohexanoic...  6-Amino-1-hexan...  DL-2-Amino-1-He...  (R)-2-Amino-1-h...  (S)-(+)-2-Amino...  6-Amino-2-Hexan...  3-aminohexan-2-...  N-[(2R)-2-Amino...