Online Database of Chemicals from Around the World

8-[3-[6-[[3,4-Dihydroxy-4-(Hydroxymethyl)Oxolan-2-Yl]Oxymethyl]-3,4,5-Trihydroxyoxan-2-Yl]Oxy-2-Hydroxy-3-Methylbutyl]-5,7-Dimethoxychromen-2-One
[CAS 134018-84-1]

Suppliers
CAS#: 134018-84-1
Product: 8-[3-[6-[[3,4-Dihydroxy-4-(Hydroxymethyl)Oxolan-2-Yl]Oxymethyl]-3,4,5-Trihydroxyoxan-2-Yl]Oxy-2-Hydroxy-3-Methylbutyl]-5,7-Dimethoxychromen-2-One
No suppilers available for the product.
Identification
Name 8-[3-[6-[[3,4-Dihydroxy-4-(Hydroxymethyl)Oxolan-2-Yl]Oxymethyl]-3,4,5-Trihydroxyoxan-2-Yl]Oxy-2-Hydroxy-3-Methylbutyl]-5,7-Dimethoxychromen-2-One
Synonyms 8-[3-[6-[[3,4-Dihydroxy-4-(Hydroxymethyl)Tetrahydrofuran-2-Yl]Oxymethyl]-3,4,5-Trihydroxy-Tetrahydropyran-2-Yl]Oxy-2-Hydroxy-3-Methyl-Butyl]-5,7-Dimethoxy-Chromen-2-One; 8-[3-[[6-[[3,4-Dihydroxy-4-(Hydroxymethyl)-2-Tetrahydrofuranyl]Oxymethyl]-3,4,5-Trihydroxy-2-Tetrahydropyranyl]Oxy]-2-Hydroxy-3-Methylbutyl]-5,7-Dimethoxy-2-Chromenone; 8-[3-[6-[(3,4-Dihydroxy-4-Methylol-Tetrahydrofuran-2-Yl)Oxymethyl]-3,4,5-Trihydroxy-Tetrahydropyran-2-Yl]Oxy-2-Hydroxy-3-Methyl-Butyl]-5,7-Dimethoxy-Coumarin
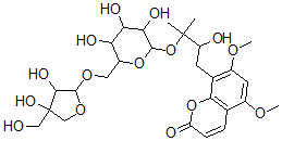
Molecular Structure CAS#: 134018-84-1, 8-[3-[6-[[3,4-Dihydroxy-4-(Hydroxymethyl)Oxolan-2-Yl]Oxymethyl]-3,4,5-Trihydroxyoxan-2-Yl]Oxy-2-Hydroxy-3-Methylbutyl]-5,7-Dimethoxychromen-2-One
Molecular Formula C27H38O15
Molecular Weight 602.59
CAS Registry Number 134018-84-1
SMILES C2=C(OC)C1=C(OC(=O)C=C1)C(=C2OC)CC(O)C(OC3OC(C(O)C(O)C3O)COC4OCC(O)(C4O)CO)(C)C
InChI 1S/C27H38O15/c1-26(2,17(29)7-13-15(37-4)8-14(36-3)12-5-6-18(30)41-22(12)13)42-24-21(33)20(32)19(31)16(40-24)9-38-25-23(34)27(35,10-28)11-39-25/h5-6,8,16-17,19-21,23-25,28-29,31-35H,7,9-11H2,1-4H3
InChIKey CKHYWBSGQWYTKJ-UHFFFAOYSA-N
Properties
Density 1.533g/cm3 (Cal.)
Boiling point 891.739°C at 760 mmHg (Cal.)
Flash point 291.635°C (Cal.)
Market Analysis Reports
Related Products
3-[(2S,3R,4S,5R...  4-[(3S,5R,8R,9S...  [4-[3,4-Dihydro...  2-[4-[3-[3,4-Di...  5-[3,4-Dihydrox...  6-[3,4-dihydrox...  [2-[[3,4-Dihydr...  (2R,3S,4S,5R,6R...  7-[6-[[3,4-Dihy...  6-[(2S,3R,4S,5S...  2-[3-[4,5-Dihyd...  [3,4-Dihydroxy-...  (7R,9S)-7-[(2R,...  9-[(2R,3R,4S,5R...  1-[(2R,3S,4S,5R...  7-[(2R,3R,4S,5R...  4-[[9-[(2S,3R,4...  (2S)-2-[[9-[(2S...  (2R,3R,4S,5R)-2...  [(4Z)-4-[[2-[2-...