Online Database of Chemicals from Around the World

(2R)-3-Hydroxy-2-(3-Hydroxy-3,7,11,15-Tetramethylhexadecoxy)-2-(3-Phosphonopropylamino)-3-(3,7,11,15-Tetramethylhexadecoxy)Propanoic Acid
[CAS 134044-67-0]

Suppliers
CAS#: 134044-67-0
Product: (2R)-3-Hydroxy-2-(3-Hydroxy-3,7,11,15-Tetramethylhexadecoxy)-2-(3-Phosphonopropylamino)-3-(3,7,11,15-Tetramethylhexadecoxy)Propanoic Acid
No suppilers available for the product.
Identification
Name (2R)-3-Hydroxy-2-(3-Hydroxy-3,7,11,15-Tetramethylhexadecoxy)-2-(3-Phosphonopropylamino)-3-(3,7,11,15-Tetramethylhexadecoxy)Propanoic Acid
Synonyms (2R)-3-Hydroxy-2-(3-Hydroxy-3,7,11,15-Tetramethyl-Hexadecoxy)-2-(3-Phosphonopropylamino)-3-(3,7,11,15-Tetramethylhexadecoxy)Propanoic Acid; (2R)-3-Hydroxy-2-(3-Hydroxy-3,7,11,15-Tetramethyl-Hexadecoxy)-2-(3-Phosphonopropylamino)-3-(3,7,11,15-Tetramethylhexadecoxy)Propionic Acid; Hydroxyarchaetidylserine
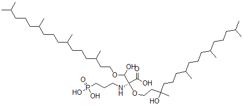
Molecular Structure CAS#: 134044-67-0, (2R)-3-Hydroxy-2-(3-Hydroxy-3,7,11,15-Tetramethylhexadecoxy)-2-(3-Phosphonopropylamino)-3-(3,7,11,15-Tetramethylhexadecoxy)Propanoic Acid
Molecular Formula C46H94NO9P
Molecular Weight 836.22
CAS Registry Number 134044-67-0
SMILES [C@@](C(=O)O)(NCCC[P](O)(O)=O)(C(O)OCCC(CCCC(CCCC(CCCC(C)C)C)C)C)OCCC(CCCC(CCCC(CCCC(C)C)C)C)(C)O
InChI 1S/C46H94NO9P/c1-36(2)18-11-20-38(5)22-13-24-40(7)25-15-27-42(9)29-33-55-44(50)46(43(48)49,47-32-17-35-57(52,53)54)56-34-31-45(10,51)30-16-28-41(8)26-14-23-39(6)21-12-19-37(3)4/h36-42,44,47,50-51H,11-35H2,1-10H3,(H,48,49)(H2,52,53,54)/t38?,39?,40?,41?,42?,44?,45?,46-/m0/s1
InChIKey DDMAQIPVNFTVKV-SZFILMRRSA-N
Properties
Density 1.018g/cm3 (Cal.)
Boiling point 867.878°C at 760 mmHg (Cal.)
Flash point 478.675°C (Cal.)
Market Analysis Reports
Related Products
3-Hydroxy-2-(3-...  8-Hydroxy-2-(p-...  3-[1-[2-Hydroxy...  3-Hydroxy-4-[2-...  4-Hydroxy-3-[2-...  3-Hydroxy-4-[2-...  4-Hydroxy-3-[[4...  3-Hydroxy-4-[[4...  2-Hydroxy-2-(2-...  4-[(Z)-1-Hydrox...  1-Hydroxy-4-(1-...  20-[2-Hydroxy-3...  2-Hydroxy-2-(2-...  5-[11-Hydroxy-1...  [1R-[1alpha(Z),...  5-Hydroxy-2-[[4...  [(1R)-4-hydroxy...  (2S)-5-Hydroxy-...  2-Hydroxy-2-(6-...  (6S)-6-Hydroxy-...