Online Database of Chemicals from Around the World

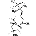
(1S,2S,3S,6S,7R,9R)-9-{[Dimethyl(2-Methyl-2-Propanyl)Silyl]Oxy}-1,4,4-Trimethyl-11-Oxatricyclo[5.3.1.02,6]Undecan-3-Ol
[CAS 134176-24-2]

Suppliers
Achemica Switzerland
+41 (24) 466-2929
contact@achemica.com
Chemical manufacturer since 2010
Identification
Name (1S,2S,3S,6S,7R,9R)-9-{[Dimethyl(2-Methyl-2-Propanyl)Silyl]Oxy}-1,4,4-Trimethyl-11-Oxatricyclo[5.3.1.02,6]Undecan-3-Ol
Synonyms 1,4,4-Trimethyl-9-(tert-butyldimethylsilyloxy)-11-oxatricyclo(5.3.1.0(2,6))-undecan-3-ol; 1,4,4-Tsou
Molecular Structure CAS#: 134176-24-2, (1S,2S,3S,6S,7R,9R)-9-{[Dimethyl(2-Methyl-2-Propanyl)Silyl]Oxy}-1,4,4-Trimethyl-11-Oxatricyclo[5.3.1.0<Sup>2,6</Sup>]Undecan-3-Ol
Molecular Formula C19H36O3Si
Molecular Weight 340.57
CAS Registry Number 134176-24-2
SMILES O([Si](C(C)(C)C)(C)C)[C@H]3C[C@@]1(O[C@@H]([C@H]2CC([C@@H](O)[C@@H]12)(C)C)C3)C
InChI 1S/C19H36O3Si/c1-17(2,3)23(7,8)22-12-9-14-13-11-18(4,5)16(20)15(13)19(6,10-12)21-14/h12-16,20H,9-11H2,1-8H3/t12-,13-,14-,15+,16+,19+/m1/s1
InChIKey SSHVELVJONMEKY-IFVNRKHKSA-N
Properties
Density 1.019g/cm3 (Cal.)
Boiling point 381.675°C at 760 mmHg (Cal.)
Flash point 184.63°C (Cal.)
Refractive index 1.495 (Cal.)
Market Analysis Reports
Related Products
(1S,3R,4aS,7S,8...  (4S,5S,6S,7S,9R...  4-{[Dimethyl(2-...  (2R)-2-{[Dimeth...  (2S)-2-{[Dimeth...  (3S,5E,7E,14xi)...  (3S,5Z,7E,14xi,...  (3S,5Z,8xi,14xi...  (4aR,6aR,7R,10R...  (3aS,4aS,7aR,8a...  5-[Dimethyl(2-m...  Dimethyl(2-Meth...  N-[Dimethyl(2-m...  2-[Dimethyl(2-M...  6-[Dimethyl(2-M...  1-[Dimethyl(2-M...  (9cis)-O15...  Dimethyl(2-Meth...  N,N-Dimethyl-2-...  Dimethyl(2-Meth...