Online Database of Chemicals from Around the World

[(2S,3S,5R,6S)-2,3,4,5,6-Pentahydroxycyclohexyl] 4-Pyren-1-Ylbutyl Hydrogen Phosphate
[CAS 139143-25-2]

Suppliers
CAS#: 139143-25-2
Product: [(2S,3S,5R,6S)-2,3,4,5,6-Pentahydroxycyclohexyl] 4-Pyren-1-Ylbutyl Hydrogen Phosphate
No suppilers available for the product.
Identification
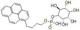
Name [(2S,3S,5R,6S)-2,3,4,5,6-Pentahydroxycyclohexyl] 4-Pyren-1-Ylbutyl Hydrogen Phosphate
Synonyms [(2S,3S,5R,6S)-2,3,4,5,6-Pentahydroxycyclohexyl] 4-(1-Pyrenyl)Butyl Hydrogen Phosphate; 4-(1-Pyreno)Butylphosphorylinositol; Dl-Myo-Inositol, 1-(4-(1-Pyrenyl)Butyl Hydrogen Phosphate)
Molecular Structure CAS#: 139143-25-2, [(2S,3S,5R,6S)-2,3,4,5,6-Pentahydroxycyclohexyl] 4-Pyren-1-Ylbutyl Hydrogen Phosphate
Molecular Formula C26H29O9P
Molecular Weight 516.48
CAS Registry Number 139143-25-2
SMILES [C@@H]5(O)C(O[P](OCCCCC1=C4C2=C(C=C1)C=CC3=C2C(=CC=C3)C=C4)(O)=O)[C@@H](O)[C@H](O)C(O)[C@@H]5O
InChI 1S/C26H29O9P/c27-21-22(28)24(30)26(25(31)23(21)29)35-36(32,33)34-13-2-1-4-14-7-8-17-10-9-15-5-3-6-16-11-12-18(14)20(17)19(15)16/h3,5-12,21-31H,1-2,4,13H2,(H,32,33)/t21?,22-,23+,24-,25-,26?/m0/s1
InChIKey VBIVPQHGEARBEM-CDFZIERKSA-N
Market Analysis Reports
Related Products
Pentaglycerol;G...  Pentaglycine;2-...  Pentaheptaconta...  Pentahexacontan...  2,3',4,4',6-Pen...  2',3,4,4',6'-Pe...  (3beta,5beta,22...  (1S,2R,3R,4S,5S...  [(2S,3R,5S,6S)-...  [(2R,3R,5R,6S)-...  1,3,12,20,26-Pe...  3,7,8,10,12b-Pe...  (2R,3S,4R,5R)-2...  (5xi,7alpha,8xi...  3,5,7,3',4'-Pen...  5,7,3',4',5'-Pe...  (6-beta,14R)-5,...  1,3,4,5,6-Penta...  (7E,12E,16Z,22Z...  (2S,3R,4S,5R)-2...