Online Database of Chemicals from Around the World

3-O-((Rhamnopyranosyl-(1-3)-Xylopyranosyl-(1-2)-)(Glucopyranosyl-(1-3))-Glucopyranosyl-(1-3)-Glucopyranosyl)Spirostan-2,3-Diol
[CAS 139979-76-3]

Suppliers
CAS#: 139979-76-3
Product: 3-O-((Rhamnopyranosyl-(1-3)-Xylopyranosyl-(1-2)-)(Glucopyranosyl-(1-3))-Glucopyranosyl-(1-3)-Glucopyranosyl)Spirostan-2,3-Diol
No suppilers available for the product.
Identification
Name 3-O-((Rhamnopyranosyl-(1-3)-Xylopyranosyl-(1-2)-)(Glucopyranosyl-(1-3))-Glucopyranosyl-(1-3)-Glucopyranosyl)Spirostan-2,3-Diol
Synonyms 3-Rxgsd; Beta-D-Glucopyranoside, (2Alpha,3Beta,5Alpha,25R)-2-Hydroxyspirostan-3-Yl O-6-Deoxy-Alpha-L-Mannopyranosyl-(1-3)-O-Beta-D-Xylopyranosyl-(1-2)-O-(Beta-D-Glucopyranosyl-(1-3))-Beta-D-Glucopyranosyl-(1-3)-
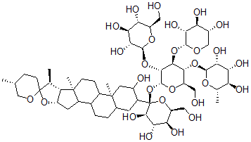
Molecular Structure CAS#: 139979-76-3, 3-O-((Rhamnopyranosyl-(1-3)-Xylopyranosyl-(1-2)-)(Glucopyranosyl-(1-3))-Glucopyranosyl-(1-3)-Glucopyranosyl)Spirostan-2,3-Diol
Molecular Formula C56H92O27
Molecular Weight 1197.33
CAS Registry Number 139979-76-3
SMILES [C@@H]23[C@@H](OC1(OC[C@@H](CC1)C)[C@H]2C)CC4[C@@]3(CCC5C4CCC6[C@@]5(CC(O)C(C6)[C@@]7(O[C@H]([C@@H](O)[C@H](O)[C@H]7O)CO)O[C@H]%10O[C@@H]([C@@H](O[C@@H]8O[C@H]([C@H](O)[C@@H](O)[C@H]8O)C)[C@H](O[C@H]9OC[C@@H](O)[C@H](O)[C@H]9O)[C@H]%10O[C@@H]%11O[C@@H]([C@@H](O)[C@H](O)[C@H]%11O)CO)CO)C)C
InChI 1S/C56H92O27/c1-20-8-11-55(74-18-20)21(2)34-30(81-55)13-26-24-7-6-23-12-27(28(60)14-54(23,5)25(24)9-10-53(26,34)4)56(48(72)41(68)38(65)32(16-58)82-56)83-52-47(80-51-44(71)40(67)37(64)31(15-57)76-51)46(79-49-42(69)36(63)29(61)19-73-49)45(33(17-59)77-52)78-50-43(70)39(66)35(62)22(3)75-50/h20-52,57-72H,6-19H2,1-5H3/t20-,21+,22+,23?,24?,25?,26?,27?,28?,29-,30+,31-,32+,33-,34+,35+,36+,37-,38-,39-,40+,41+,42-,43-,44-,45-,46+,47-,48-,49-,50+,51+,52-,53+,54+,55?,56-/m1/s1
InChIKey KADIFLZXWRELEB-VSVOSOTASA-N
Properties
Density 1.557g/cm3 (Cal.)
Market Analysis Reports
Related Products
Rhamnocitrin;Ka...  Rhamnocitrin 3-...  Rhamnolipid RL2...  3-O-Rhamnopyran...  3-O-(Rhamnopyra...  3beta-O-(alpha-...  3-O-((alpha-L-R...  2"-O-α-L-Rhamno...  3beta-(alpha-L-...  6-C-alpha-L-Rha...  L-Rhamnose;(3R,...  alpha-L-Rhamnos...  D-Rhamnose;(2S,...  L-Rhamnose diet...  L(+)-Rhamnose m...  L-Rhamnose mono...  rhamnoside  3-O-Rhamnosylch...  2''-O-Rhamnosyl...  Rhamnosyl-rhamn...