Online Database of Chemicals from Around the World

Cycloviracin B1
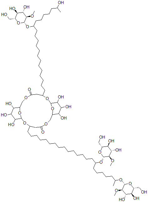
[CAS 142382-45-4]

Suppliers
CAS#: 142382-45-4
Product: Cycloviracin B1
No suppilers available for the product.
Identification
Name Cycloviracin B1
Synonyms Cycloviracin-B1; 2,6,13,17,23,24-Hexaoxatricyclo(17.3.1.1(8,12))Tetracosane-5,16-Dione, 3-(16,22-Bis((2-O-Methyl-Beta-D-Glucopyranosyl)Oxy)Tricosyl)-9,10,11,20,21,22-Hexahydroxy-14-(20-Hydroxy-14-((2-O-Methyl-Beta-D-Glucopyranosyl)Oxy)Heneicosyl)-; 3-(16,22-Bis((2-O-Methyl-Beta-D-Glucopyranosyl)Oxy)Tricosyl)-9,10,11,20,21,22-Hexahydroxy-14-(20-Hydroxy-14-((2-O-Methyl-Beta-D-Glucopyranosyl)Oxy)Heneicosyl)-2,6,13,17,23,24-Hexaoxatricyclo(17.3.1.1(8,12))Tetracosane-5,16-Dione
Molecular Structure CAS#: 142382-45-4, Cycloviracin B1
Molecular Formula C83H152O33
Molecular Weight 1678.09
CAS Registry Number 142382-45-4
SMILES [C@H]1(OC)[C@@H](O[C@@H]([C@@H](O)[C@@H]1O)CO)OC(CCCCCC(O[C@@H]2O[C@@H]([C@@H](O)[C@H](O)[C@H]2OC)CO)C)CCCCCCCCCCCCCCCC5OC3OC(C(O)C(O)C3O)COC(=O)CC(OC4OC(C(O)C(O)C4O)COC(=O)C5)CCCCCCCCCCCCCC(O[C@@H]6O[C@@H]([C@@H](O)[C@H](O)[C@H]6OC)CO)CCCCCC(O)C
InChI 1S/C83H152O33/c1-51(87)36-28-26-34-40-53(108-82-77(103-4)72(98)65(91)58(47-85)113-82)38-30-22-19-15-12-9-13-17-21-25-33-43-56-45-63(89)106-50-60-67(93)69(95)74(100)79(115-60)110-55(44-62(88)105-49-61-68(94)70(96)75(101)80(111-56)116-61)42-32-24-20-16-11-8-6-7-10-14-18-23-31-39-54(109-83-78(104-5)73(99)66(92)59(48-86)114-83)41-35-27-29-37-52(2)107-81-76(102-3)71(97)64(90)57(46-84)112-81/h51-61,64-87,90-101H,6-50H2,1-5H3/t51?,52?,53?,54?,55?,56?,57-,58-,59-,60?,61?,64-,65-,66-,67?,68?,69?,70?,71+,72+,73+,74?,75?,76-,77-,78-,79?,80?,81-,82-,83-/m1/s1
InChIKey UHXMKKIXCMBBAY-UKGVZLGJSA-N
Market Analysis Reports
Related Products
Cycloundecaneca...  Cycloundecaneme...  Cycloundecanone...  Cycloundecene(E...  Cycloundecene(Z...  2,2'-Cyclouridi...  Cyclovalone;(2E...  Cyclo(Valyl-Pro...  Cyclo(L-valyl-L...  Cyclo(Valylvaly...  Cyclovirobuxin ...  Cycloxydim;Focu...  Cycluron;3-Cycl...  Cycluron;3-Cycl...  Cycolate;S-Ethy...  Cycotiamine;N-[...  Cycrimine;1-Cyc...  Cy7 (Cyanine 7)...  Cy7 DiC18;diIC1...  Cy5 dic18;(2E)-...