Online Database of Chemicals from Around the World

(Dtpa-Phe(1))-Octreotide
[CAS 142694-57-3]

Suppliers
CAS#: 142694-57-3
Product: (Dtpa-Phe(1))-Octreotide
No suppilers available for the product.
Identification
Name (Dtpa-Phe(1))-Octreotide
Synonyms (In111-Dtpa-Phe(1))-Octreotide; 161Tb-(Dtpa-Phe(1))-Octreotide; Indium-111-D-Phe(1)-Octreotide
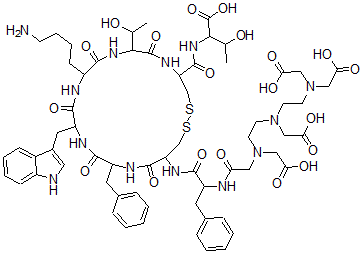
Molecular Structure CAS#: 142694-57-3, (Dtpa-Phe(1))-Octreotide
Molecular Formula C63H85N13O20S2
Molecular Weight 1408.56
CAS Registry Number 142694-57-3
SMILES C1=CC=C2C(=C1)[NH]C=C2CC3C(NC(C(NC(C(NC(CSSCC(C(NC(C(N3)=O)CC4=CC=CC=C4)=O)NC(C(CC5=CC=CC=C5)NC(CN(CC(O)=O)CCN(CCN(CC(O)=O)CC(=O)O)CC(=O)O)=O)=O)C(NC(C(C)O)C(=O)O)=O)=O)C(O)C)=O)CCCCN)=O
InChI 1S/C63H85N13O20S2/c1-36(77)54-62(94)71-48(61(93)73-55(37(2)78)63(95)96)35-98-97-34-47(70-57(89)44(25-38-13-5-3-6-14-38)66-49(79)29-75(31-51(82)83)23-21-74(30-50(80)81)22-24-76(32-52(84)85)33-53(86)87)60(92)68-45(26-39-15-7-4-8-16-39)58(90)69-46(27-40-28-65-42-18-10-9-17-41(40)42)59(91)67-43(56(88)72-54)19-11-12-20-64/h3-10,13-18,28,36-37,43-48,54-55,65,77-78H,11-12,19-27,29-35,64H2,1-2H3,(H,66,79)(H,67,91)(H,68,92)(H,69,90)(H,70,89)(H,71,94)(H,72,88)(H,73,93)(H,80,81)(H,82,83)(H,84,85)(H,86,87)(H,95,96)
InChIKey DSCDMAQBPMKHAS-UHFFFAOYSA-N
Properties
Density 1.49g/cm3 (Cal.)
Boiling point 1722.7°C at 760 mmHg (Cal.)
Flash point 995.7°C (Cal.)
Market Analysis Reports
Related Products
Dryopteris Fili...  DSPE-PEG-Biotin...  DSPE-PEG-COOH;P...  DSPE-PEG2000-CO...  DSPE-PEG2000-MA...  DSPE-PEG-NHS;1,...  DT12-18;(2S,5R,...  DTP348  DTPA-BMA;5,8-Bi...  Dtpa Ferric Che...  (1R,1'R,2S,2'S)...  Ducheside A  Duclauxin;7H-8,...  Dulaglutide;LY ...  Dulanermin  Dulcerozine;4-M...  Dulcioic acid;(...  Dulcitol;Galact...  Dulcoside A;(4a...  Dulofibrate;(4-...