Online Database of Chemicals from Around the World

4-[(6-Amino-4-Hydroxy-2-Oxoazepan-3-Yl)Amino]-3-[[2-Chloro-2-(1-Chlorobutyl)-3-(1-Chloro-2-Hydroxy-2-Oxoethyl)Cyclopropanecarbonyl]Amino]-4-Oxobutanoic Acid
[CAS 145585-99-5]

Suppliers
CAS#: 145585-99-5
Product: 4-[(6-Amino-4-Hydroxy-2-Oxoazepan-3-Yl)Amino]-3-[[2-Chloro-2-(1-Chlorobutyl)-3-(1-Chloro-2-Hydroxy-2-Oxoethyl)Cyclopropanecarbonyl]Amino]-4-Oxobutanoic Acid
No suppilers available for the product.
Identification
Name 4-[(6-Amino-4-Hydroxy-2-Oxoazepan-3-Yl)Amino]-3-[[2-Chloro-2-(1-Chlorobutyl)-3-(1-Chloro-2-Hydroxy-2-Oxoethyl)Cyclopropanecarbonyl]Amino]-4-Oxobutanoic Acid
Synonyms 4-[(6-Amino-4-Hydroxy-2-Oxo-Azepan-3-Yl)Amino]-3-[[2-Chloro-2-(1-Chlorobutyl)-3-(1-Chloro-2-Hydroxy-2-Oxo-Ethyl)Cyclopropanecarbonyl]Amino]-4-Oxo-Butanoic Acid; 4-[(6-Amino-4-Hydroxy-2-Oxo-3-Azepanyl)Amino]-3-[[[2-Chloro-2-(1-Chlorobutyl)-3-(1-Chloro-2-Hydroxy-2-Oxoethyl)Cyclopropyl]-Oxomethyl]Amino]-4-Oxobutanoic Acid; 4-[(6-Amino-4-Hydroxy-2-Keto-Azepan-3-Yl)Amino]-3-[[2-Chloro-2-(1-Chlorobutyl)-3-(1-Chloro-2-Hydroxy-2-Keto-Ethyl)Cyclopropanecarbonyl]Amino]-4-Keto-Butyric Acid
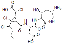
Molecular Structure CAS#: 145585-99-5, 4-[(6-Amino-4-Hydroxy-2-Oxoazepan-3-Yl)Amino]-3-[[2-Chloro-2-(1-Chlorobutyl)-3-(1-Chloro-2-Hydroxy-2-Oxoethyl)Cyclopropanecarbonyl]Amino]-4-Oxobutanoic Acid
Molecular Formula C20H29Cl3N4O8
Molecular Weight 559.83
CAS Registry Number 145585-99-5
SMILES C(C(Cl)C1(Cl)C(C1C(=O)NC(C(=O)NC2C(O)CC(N)CNC2=O)CC(=O)O)C(Cl)C(=O)O)CC
InChI 1S/C20H29Cl3N4O8/c1-2-3-10(21)20(23)12(14(22)19(34)35)13(20)17(32)26-8(5-11(29)30)16(31)27-15-9(28)4-7(24)6-25-18(15)33/h7-10,12-15,28H,2-6,24H2,1H3,(H,25,33)(H,26,32)(H,27,31)(H,29,30)(H,34,35)
InChIKey RSMNHRRWERNDLZ-UHFFFAOYSA-N
Properties
Density 1.549g/cm3 (Cal.)
Boiling point 983.338°C at 760 mmHg (Cal.)
Flash point 548.503°C (Cal.)
Market Analysis Reports
Related Products
4-Amino-N-Hydro...  4-Amino-N-hydro...  4-Amino-N-Hydro...  5-Amino-N-Hydro...  4-Amino-N'-Hydr...  4-Amino-N-hydro...  4-Amino-1-[(2R,...  (17Z,21R)-27-Am...  7-Amino-3-Hydro...  7-Amino-4-hydro...  4-[(6-Amino-4-H...  (2S)-2-[[2-Amin...  (2S,3R)-5-Amino...  (alphaS)-alpha-...  (2S)-4-Amino-2-...  (R)-4-Amino-2-h...  2-amino-6-[(4-h...  (2S)-2-[[(2S)-2...  11-(3-Amino-4-H...  (2S)-N-[(2S)-1-...