Identification
| Name |
16-(4-Aminobutyl)-N-(1,3-Dihydroxy-2-Methylpropan-2-Yl)-13-(1-Hydroxyethyl)-19-(1H-Indol-3-Ylmethyl)-12,15,18,21,24-Pentaoxo-22-(Phenylmethyl)-7,8-Dithia-11,14,17,20,23-Pentazaspiro[5.19]Pentacosane-10-Carboxamide |
| Synonyms |
16-(4-Aminobutyl)-13-(1-Hydroxyethyl)-N-[2-Hydroxy-1-(Hydroxymethyl)-1-Methyl-Ethyl]-19-(1H-Indol-3-Ylmethyl)-12,15,18,21,24-Pentaoxo-22-(Phenylmethyl)-7,8-Dithia-11,14,17,20,23-Pentazaspiro[5.19]Pentacosane-10-Carboxamide; 16-(4-Aminobutyl)-13-(1-Hydroxyethyl)-N-[2-Hydroxy-1-(Hydroxymethyl)-1-Methylethyl]-19-(1H-Indol-3-Ylmethyl)-12,15,18,21,24-Pentaoxo-22-(Phenylmethyl)-7,8-Dithia-11,14,17,20,23-Pentazaspiro[5.19]Pentacosane-10-Carboxamide; 16-(4-Aminobutyl)-22-(Benzyl)-13-(1-Hydroxyethyl)-N-(2-Hydroxy-1-Methyl-1-Methylol-Ethyl)-19-(1H-Indol-3-Ylmethyl)-12,15,18,21,24-Pentaketo-7,8-Dithia-11,14,17,20,23-Pentazaspiro[5.19]Pentacosane-10-Carboxamide |
|
| Molecular Structure |
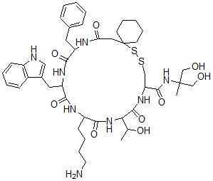
![CAS#: 150747-52-7, 16-(4-Aminobutyl)-N-(1,3-Dihydroxy-2-Methylpropan-2-Yl)-13-(1-Hydroxyethyl)-19-(1H-Indol-3-Ylmethyl)-12,15,18,21,24-Pentaoxo-22-(Phenylmethyl)-7,8-Dithia-11,14,17,20,23-Pentazaspiro[5.19]Pentacosane-10-Carboxamide](/moreStructures/150747-52-7.gif) |
| Molecular Formula |
C45H64N8O9S2 |
| Molecular Weight |
925.17 |
| CAS Registry Number |
150747-52-7 |
| SMILES |
C1=C(C2=C([NH]1)C=CC=C2)CC3NC(=O)C(NC(=O)CC4(SSCC(NC(=O)C(NC(=O)C(NC3=O)CCCCN)C(O)C)C(=O)NC(CO)(CO)C)CCCCC4)CC5=CC=CC=C5 |
| InChI |
1S/C45H64N8O9S2/c1-28(56)38-43(62)51-36(42(61)53-44(2,26-54)27-55)25-63-64-45(18-10-4-11-19-45)23-37(57)48-34(21-29-13-5-3-6-14-29)40(59)50-35(22-30-24-47-32-16-8-7-15-31(30)32)41(60)49-33(39(58)52-38)17-9-12-20-46/h3,5-8,13-16,24,28,33-36,38,47,54-56H,4,9-12,17-23,25-27,46H2,1-2H3,(H,48,57)(H,49,60)(H,50,59)(H,51,62)(H,52,58)(H,53,61) |
| InChIKey |
NJVMKJXFXIAJHE-UHFFFAOYSA-N |
|