Online Database of Chemicals from Around the World

beta-Amyloid peptide 17-42
[CAS 155178-13-5]

Suppliers
CAS#: 155178-13-5
Product: beta-Amyloid peptide 17-42
No suppilers available for the product.
Identification
Name beta-Amyloid peptide 17-42
Synonyms Amyloid Beta-Protein (17-42); L-Alanine, L-Leucyl-L-Valyl-L-Phenylalanyl-L-Phenylalanyl-L-Alanyl-L-Alpha-Glutamyl-L-Alpha-Aspartyl-L-Valylglycyl-L-Seryl-L-Asparaginyl-L-Lysylglycyl-L-Alanyl-L-Isoleucyl-L-Isoleucylglycyl-L-Leucyl-L-Methionyl-L-Valylglycylglycyl-L-Valyl-L-Valyl-L-Isoleucyl-; L-Leucyl-L-Valyl-L-Phenylalanyl-L-Phenylalanyl-L-Alanyl-L-Alpha-Glutamyl-L-Alpha-Aspartyl-L-Valylglycyl-L-Seryl-L-Asparaginyl-L-Lysylglycyl-L-Alanyl-L-Isoleucyl-L-Isoleucylglycyl-L-Leucyl-L-Methionyl-L-Valylglycylglycyl-L-Valyl-L-Valyl-L-Isoleucyl-L-Alanine
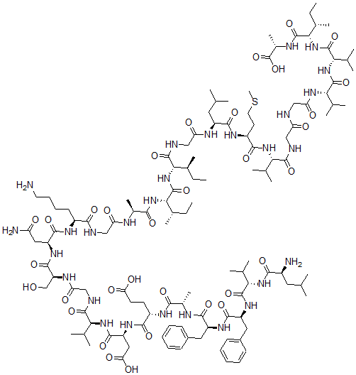
Molecular Structure CAS#: 155178-13-5, beta-Amyloid peptide 17-42
Molecular Formula C119H194N28O33S
Molecular Weight 2577.07
CAS Registry Number 155178-13-5
SMILES [C@@H](N)(C(=O)N[C@H](C(=O)N[C@H](C(=O)N[C@H](C(=O)N[C@@H](C)C(=O)N[C@H](C(=O)N[C@H](C(=O)N[C@H](C(=O)NCC(=O)N[C@H](C(=O)N[C@H](C(=O)N[C@H](C(=O)NCC(=O)N[C@@H](C)C(=O)N[C@H](C(=O)N[C@H](C(=O)NCC(=O)N[C@H](C(=O)N[C@H](C(=O)N[C@H](C(=O)NCC(=O)NCC(=O)N[C@H](C(=O)N[C@H](C(=O)N[C@H](C(=O)N[C@@H](C)C(=O)O)[C@@H](C)CC)C(C)C)C(C)C)C(C)C)CCSC)CC(C)C)[C@@H](C)CC)[C@@H](C)CC)CCCCN)CC(=O)N)CO)C(C)C)CC(=O)O)CCC(=O)O)CC1=CC=CC=C1)CC2=CC=CC=C2)C(C)C)CC(C)C
InChI 1S/C119H194N28O33S/c1-25-65(18)96(113(173)127-55-86(152)131-77(47-59(6)7)106(166)135-76(43-45-181-24)104(164)142-91(60(8)9)111(171)125-52-84(150)123-53-88(154)140-93(62(12)13)115(175)144-95(64(16)17)116(176)147-97(66(19)26-2)117(177)130-70(23)119(179)180)146-118(178)98(67(20)27-3)145-100(160)68(21)128-85(151)54-124-102(162)74(40-34-35-44-120)134-108(168)80(50-83(122)149)137-110(170)82(57-148)132-87(153)56-126-112(172)92(61(10)11)143-109(169)81(51-90(157)158)138-103(163)75(41-42-89(155)156)133-99(159)69(22)129-105(165)78(48-71-36-30-28-31-37-71)136-107(167)79(49-72-38-32-29-33-39-72)139-114(174)94(63(14)15)141-101(161)73(121)46-58(4)5/h28-33,36-39,58-70,73-82,91-98,148H,25-27,34-35,40-57,120-121H2,1-24H3,(H2,122,149)(H,123,150)(H,124,162)(H,125,171)(H,126,172)(H,127,173)(H,128,151)(H,129,165)(H,130,177)(H,131,152)(H,132,153)(H,133,159)(H,134,168)(H,135,166)(H,136,167)(H,137,170)(H,138,163)(H,139,174)(H,140,154)(H,141,161)(H,142,164)(H,143,169)(H,144,175)(H,145,160)(H,146,178)(H,147,176)(H,155,156)(H,157,158)(H,179,180)/t65-,66-,67-,68-,69-,70-,73-,74-,75-,76-,77-,78-,79-,80-,81-,82-,91-,92-,93-,94-,95-,96-,97-,98-/m0/s1
InChIKey IJFDWFCPZVWUDC-FWKDGKLYSA-N
Market Analysis Reports
Related Products
n-Amyl isopropy...  Amyl Lactate;2-...  Amyl Methyl Sul...  Amyl 2-Methylva...  Amyl Nitrite;Is...  N-Amyl-N-Nitros...  Amyloheptaose;M...  beta-Amyloid A4...  beta-Amyloid (1...  Amyloid peptide...  Amyloid beta-pe...  Amyloid beta-pe...  beta-Amyloid pr...  Amyloid beta-Pr...  Amyloid beta-Pr...  Amylopectin  Amylose;Amylose...  Amylose azure  Amylostatin XG;...  Amylostatin XG ...