| Chengdu Biopurify Phytochemicals Ltd. | China | |||
|---|---|---|---|---|
![]() | www.phytopurify.com | |||
![]() | +86 (28) 8263-3860 8263-3987 | |||
![]() | +86 (28) 8263-3165 | |||
![]() | sales@biopurify.com biopurify@gmail.com | |||
![]() | QQ Chat | |||
![]() | Skype Chat | |||
| Chemical manufacturer | ||||
| chemBlink Standard supplier since 2017 | ||||
| Neostar United (Changzhou) Industrial Co., Ltd. | China | |||
|---|---|---|---|---|
![]() | www.neostarunited.com | |||
![]() | +86 (519) 8555-7386 +86 18015025600 | |||
![]() | +86 (519) 8555-7389 | |||
![]() | marketing1@neostarunited.com | |||
| Chemical distributor since 2014 | ||||
| chemBlink Standard supplier since 2020 | ||||
| Indofine Chemical Company, Inc. | USA | |||
|---|---|---|---|---|
![]() | www.indofinechemical.com | |||
![]() | +1 (888) 463-6346 | |||
![]() | +1 (908) 359-1179 | |||
![]() | info@indofinechemical.com | |||
| Chemical manufacturer since 1981 | ||||
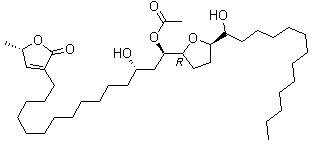
| Name | Uvarigranin |
|---|---|
| Molecular Structure | ![]() |
| Molecular Formula | C39H70O7 |
| Molecular Weight | 650.97 |
| CAS Registry Number | 167425-75-4 |
| Solubility | Insoluble (3.7E-5 g/L) (25 °C), Calc.* |
|---|---|
| Density | 1.013±0.06 g/cm3 (20 °C 760 Torr), Calc.* |
| * | Calculated using Advanced Chemistry Development (ACD/Labs) Software V11.02 (©1994-2013 ACD/Labs) |
| Market Analysis Reports |